Next: Importanza delle misure per
Up: Imperfetta conoscenza delle costanti
Previous: Errore di zero (offset)
  Indice
Per il caso di fattore di scala si procede nello stesso modo.
In questo caso chiamiamo
il valore vero della costante di scala.
Se lo strumento è calibrato al meglio, si crede che
Ne segue che
e quindi
 |
(11.16) |
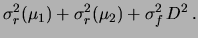
Anche in questo caso l'incertezza globale è una combinazione quadratica
di quella dovuta ai soli effetti casuali e di quella dovuta
all'incertezza di calibrazione, la quale è proporzionale
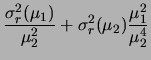
al valore del misurando. Utilizzando la propagazione delle incertezze
relative otteniamo la formula equivalente:
 |
(11.17) |
L'incertezza di scala si somma quadraticamente all'incertezza relativa.
Come nel caso precedente, più misure effettuate con lo stesso
strumento sono correlate. Se in successive elaborazioni
di queste si utilizzassero semplicemente
le incertezze globali nella formula di
propagazione, senza tener conto
degli effetti di correlazione,
si otterrebbero risultati errati.
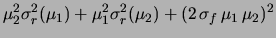
È istruttivo, nel caso dell'incertezza di scala, considerare
il prodotto
, il rapporto
e la differenza
. Lasciando per esercizio i risultati
errati che si otterebbero con il procedimento naïve,
ricaviamo i risultati corretti, riscrivendo prima
Si vede subito che l'eventuale errore di scala
è ininfluente nel rapporto;
nel prodotto viene amplificato; nelle differenze
esso dipende dalla differenza stessa e diventa trascurabile
per valori molto vicini. Passando alle incertezze, abbiamo:
Next: Importanza delle misure per
Up: Imperfetta conoscenza delle costanti
Previous: Errore di zero (offset)
  Indice
Giulio D'Agostini
2001-04-02