Next: Propagazione senza derivate
Up: Come tener conto degli
Previous: Casi di errore di
  Indice
Affrontiamo questo argomento con un caso specifico. Supponiamo di dover
determinare la lunghezza di una barretta
di materiale avente un alto coefficiente di dilatazione termica.
Affinché la misura abbia senso, occorre specificare
nella definizione del misurando
anche il valore della temperatura di riferimento.
In genere si utilizza come riferimento
C. Questo non
implica che bisogna lavorare esattamente
a questa temperatura, essendo ciò impossibile in linea di principio.
Il valore di temperatura può essere,
al più, nominalmente
C, con una incertezza di
; oppure la misura
viene eseguita ad una temperatura
diversa
da
(ad esempio se non è possibile trasportare
il misurando in un piccolo ambiente termostatato).
In questi casi è possibile sia
- correggere il valore misurato
per effetto della differenza di temperatura;
- associare al risultato un nuovo contributo all'incertezza globale,
dovuto all'eventuale incertezza sulla temperatura;
a condizione che sia noto il coefficiente di dilatazione termica
(noto anch'esso con una eventuale incertezza...).
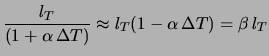
Indicando con
la lunghezza e
,
considerando
e
assumendo (per semplicità)
che lo strumento di misura
non subisca la dilatazione termica, si ha (vedi anche figura
8.3):
Si noti che:
- anche se
(
) resta sempre
una incertezza dovuta alla non perfetta conoscenza
della temperatura;
- se il coefficiente di dilatazione non è ben noto
(
``grande'') è raccomandabile cercare di effettuare
la misura ad una temperatura molto prossima a
quella di riferimento;
- se invece
è ``perfettamente noto''
il risultato non dipende dalla temperatura
alla quale si effettuano le misure.
- se si eseguono più misure a temperature diverse da
(anche diverse fra loro),
le loro incertezze saranno correlate
a causa del comune coefficiente di dilatazione
usato per correggere i risultati; nel caso di analisi
successive se ne può tenere conto come visto per costanti di
calibrazione.
L'esempio mostrato si estende in modo immediato ad
altri fattori di influenza, eventualmente anche concomitanti.
Next: Propagazione senza derivate
Up: Come tener conto degli
Previous: Casi di errore di
  Indice
Giulio D'Agostini
2001-04-02