Next: Propagazione di varianze e
Up: Coefficiente di correlazione
Previous: Coefficiente di correlazione
  Indice
Per ottenere in modo euristico una regoletta pratica per il calcolo
del coefficiente di correlazione dovuto ad errori di calibrazione
di zero o di scala
si può ragionare nel seguente modo:
- per quanto detto precedentemente il coefficiente di correlazione
è
;
- se lo strumento è perfettamente calibrato, non si introduce alcuna
correlazione fra le misure e, nel contempo, è nullo il contributo
all'incertezza totale;
- se l'incertezza dovuta alla calibrazione è molto maggiore
di quella dovuta agli effetti casuali, essa domina l'incertezza
globale e quindi la correlazione sarà di +1 (``100%'').
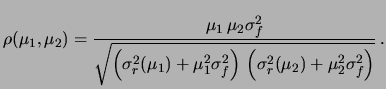
Il coefficiente di correlazione calcolato come
soddisfa questi requisiti (``comuni'' sta
per ``introdotte dall'effetto sistematico comune'').
In effetti, si può dimostrare
che, per i casi che ci interessano, la formula è corretta.
Otteniamo quindi, per i due tipi di errori considerati:
- errore di zero
-
 |
(11.24) |
- errore di scala
-
 |
(11.25) |
Next: Propagazione di varianze e
Up: Coefficiente di correlazione
Previous: Coefficiente di correlazione
  Indice
Giulio D'Agostini
2001-04-02