Next: Raccomandazioni BIPM/ISO
Up: Misure indirette ed errori
Previous: Casi notevoli di propagazione
  Indice
Riscriviamo la formula generale (11.26)
nel seguente modo
Si riconosce un operazione fra matrici del seguente tipo:
 |
(11.31) |
ove
sta per la matrice di covarianza delle
,
per la matrice di covarianza delle
e
per la matrice
delle derivate delle
rispetto alle
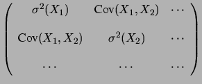
. Esplicitamente:
Chiaramente, questo è semplicemente un modo formale più
compatto di vedere la propagazione di incertezze e
correlazioni nell'approssimazione lineare, e non contiene niente
di più profondo che non sia già nella (11.26).
Next: Raccomandazioni BIPM/ISO
Up: Misure indirette ed errori
Previous: Casi notevoli di propagazione
  Indice
Giulio D'Agostini
2001-04-02