next up previous contents
Next: Deviazione dalla linearità Up: Effetto degli errori sistematici Previous: Errore di zero   Indice

Errore di scala

Per capire il comportamento degli errori di scala, sia sulle ascisse che sulle ordinate, consideriamo due punti sulla retta $ P_1=(x_1,y_1)$ e $ P_2=(x_2,y_2)$, in corrispondenza del primo e dell'ultimo punto sperimentale. Da questi punti è possibile ricavarsi $ m$ e $ c$:
$\displaystyle m$ $\displaystyle =$ $\displaystyle \frac{y_2-y_1}{x_2-x_1}\,,$ (12.20)
$\displaystyle c$ $\displaystyle =$ $\displaystyle y_1-\frac{y_2-y_1}{x_2-x_1}x_1\,.$ (12.21)

Consideriamo ora i fattori di scala $ f_x$ e $ f_y$ che, come al solito, riteniamo essere
$\displaystyle f_x$ $\displaystyle =$ $\displaystyle 1 \pm \sigma_{f_x}$  
$\displaystyle f_y$ $\displaystyle =$ $\displaystyle 1 \pm \sigma_{f_y}\,.$  

e inseriamoli esplicitamente nelle espressioni di $ m$ e di $ c$:
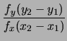
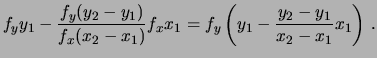
$\displaystyle m$ $\displaystyle =$ $\displaystyle \frac{f_y(y_2-y_1)}{f_x(x_2-x_1)}$  
$\displaystyle c$ $\displaystyle =$ $\displaystyle f_yy_1-\frac{f_y(y_2-y_1)}{f_x(x_2-x_1)}f_xx_1
= f_y\left(y_1-\frac{y_2-y_1}{x_2-x_1}x_1 \right)\,.$  

Ne concludiamo quindi che Come al solito, i vari contributi si combinano quadraticamente.
next up previous contents
Next: Deviazione dalla linearità Up: Effetto degli errori sistematici Previous: Errore di zero   Indice
Giulio D'Agostini 2001-04-02