Next: Contatore e distribuzione geometrica
Up: Previsioni dei risultati
Previous: Limite a poissoniana della
  Indice
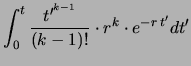
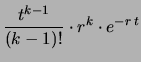
Passiamo ora a considerare il tempo di attesa prima che si verifichino
conteggi. Questo numero aleatorio è descritto da una
distribuzione di Erlang,
la quale corrisponde ad una distribuzione Gamma per
valori interi del parametro
. Ricordiamo che
Gamma |
(7.11) |
Per valori interi di
(che indichiamo con
) abbiamo quindi,
facendo uso della proprietà
:
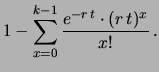
La funzione cumulativa
fornisce - ricordiamo -
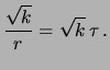
. Valore atteso e deviazione standard del tempo di attesa
per ottenere
conteggi valgono, quindi:
Per
uguale a 1, 2, 5, 10, 20, 50 e 100 conteggi
abbiamo, rispettivamente:
Si noti come, al fine di aumentare l'intellegibilità,
i risultati sono stati arrotondati in modo tale da fornire due sole
cifre significative per l'incertezza.
Un confronto con la tabella 1.2 permette
di verificare come i valori ottenuti sono compatibili
con le previsioni, nel senso consueto, ovvero
che sarebbe stato
alquanto improbabile osservare il contrario.
Next: Contatore e distribuzione geometrica
Up: Previsioni dei risultati
Previous: Limite a poissoniana della
  Indice
Giulio D'Agostini
2001-04-02