Fisica per Scienze Naturali (2016/2017)
(G. D'Agostini)


 

Raccolta delle 'copertine'


       
Ne abbiamo fatta di strada!

 
Mercoledì 7 giugno: interessante passaggio della stazione orbitale, molto luminosa che scompare mentre è ancora in alto nel cielo (verosimilmente arrossandosi).
Foto per problema 29.1 eseguita in aula con fotocamera tascabile (1 giugno)
 

 
f = 720 mm (equivalente "24×36"); ISO 3200; 1/160 s; f/6.4
 
Le informazioni sulla foto sono contenute nel file jpg. Ecco ad esempio, per questa foto, i cosiddetti Metadata.
[Nota: siccome viene riportata nei Metadata sia la lunghezza focale vera ("lens") che quella equivalente 24×36 ("35mm film"), da queste informazioni è possibile ricavarsi le dimensioni del sensore.]
 
   

Foto per problema 28.5 (30 maggio)
 
    
6000 px × 4000 px
23.5 mm × 15.6 mm
f = 217 mm; ISO 3200; 2 s; f/5.6
     6000 px × 4000 px
23.5 mm × 15.6 mm
f = 300 mm; ISO 800; 6 s; f/5.6
[Foto 27 maggio 2017]

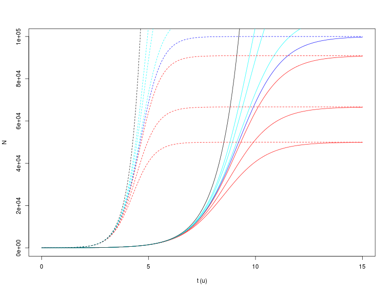
[ Crescita limitata (modello di Verhulst): per i valori vedi script R ]

Plot prodotti con R usando i comandi riportati nel file Verhulst.R

Altri link sul tema


Dimensioni dei sensori delle fotocamere digitali.(*)  
 

 
 
 
(*) I valori possono differire leggermente fra vari modelli. Cercare le specifiche della fotocamera di interesse.
 
[Per capire la funzione dello strano oggetto ('soffietto') fra obiettivo e fotocamera si risolvano i problemi 27.3.d e 27.3.e del quaderno individuale. (E si capirà anche l'ambientazione della macchina fotografica nella natura.)]

Algodoo (*)

(*) Da ritenersi facoltativo, ma raccomandato da chi ha tempo e voglia di imparare.
     


 

 
Da notare come, oltre ai fenomeni di rifrazione su cui si basa il modello elementare di lente, ci siano riflessioni e rifrazioni di raggi riflessi.
(Se gli obiettivi per fare buone foto non sono economici tanto un motivo ci sarà...)

 
[27/3/2015 18:09; ISO 125, f/4, 1/160 s, “36mm”]
Da notare:
  • Link sul tema
     
     
    Esempio di miraggio superiore.




    (Immagine da questo sito)

     
    Versione casereccia ottenuta 'hackerando' un hand spinner

    [Da Franco Dupré, Lezioni di Fisica, Vol. 2, vedi argomenti]


    Cosa succederebbe alla Terra se non ci fosse la Luna?
     
     
    [L'immagine mostra la Terra con l'asse orientato in direzione del sole]


    [Curve di energia potenziale a seconda dei segni delle cariche]

    [Altre risorse in rete]

     
    Da Wikipedia: si notino i rapporti di moltiplicazione e gli spostamenti degli estremi ]


    Come si muove il centro di massa del gatto? (Trascurando la resistenza dell'aria)

     
     
    Azione e reazione... in azione.
    Moto del pendolo: vettori velocita' (blu) e accelerazione (rosso) in funzione del tempo           Moto del pendolo: forza di gravita' (marrone), del filo (verde) e totale (rosso) in funzione del tempo           Moto del pendolo: componenti tangenziale e normale della forza di gravita'
    Cosa rappresentano le varie frecce? ]


    [Ombra della Terra sulla Luna:
    provare a emulare Aristarco di Samo]


    [ Salita esponenziale a valore limite (x0=0, xF=2;  τ=1/4, 1/2, 1, 2 e 4 u) ]
     

    [ Discesa esponenziale a valore limite (x0=2, xF=0;  τ=1/4, 1/2, 1, 2 e 4 u) ]
     

    La linea orizzontale tratteggiata indica quando il modulo della differenza fra il valore di x istantaneo e quello asintorico si riduce di 1/e rispetto a quello iniziale. Come si vede dal grafico, questa condizione si verifica quando t = τ.



    Ricorda qualcosa? (anche numericamente)
    → vedi quaderno individuale, lezione 15 (10 aprile)

    Proiettili lanciati nello stesso istante con stessa velocità in modulo ma diversa angolazione. La traiettoria indicata in rosso corrisponde a 45 gradi.
     
    Accelerazione di gravità a partire dal centro della Terra e parametri di orbite circolari
    (distanza in unità di raggi terrestri)




    [La linea tratteggiata verde indica il raggio dell'orbita geostazionria]
    Oscillatori armonici (puntino blue e puntino rosso)
    Rivedere l'animazione come Per capire bene l'oscillatore armonico (soprattutto la variazione della velocità in funzione del tempo) ci si concentri sul puntino blue, ignorando gli altri,
    The dark side of the Moon(*) e Marte (foto 29 marzo 2017)
     


      [(*)La parte in ombra delle luna è rischiarata dalla luce riflessa dalla Terra]
     
    Altra foto, con stella cadente (?).

    [Lanci orizzontali per diverse velocità iniziali (a rallentatore!)]
     
     

    [ stessa vx0;   diverse vy0 ] [ stessa vy0;   diverse vx0 ]

     

    STASERA! (e venerdì sera)

    Stazione Spaziale Internazionale (ISS):

       

                Q    +

    YT


    [ Colpo d'occhio su alcuni parametri orbitali (da Wikipedia) − Nota: le orbite reali non sono coplanari!(*) ]
     
    (*) Solo i satelliti geostazionari hanno l'orbita sul piano equatoriale,
    come mostrato invece nella figura al fine di confrontare i vari parametri.
    Le dimensioni della Terra (palesemente vista dal Polo Nord) e delle varie orbite sono in scala(!).
    Le quattro scale mostrano i parametri orbitali in funzione della distanza dalla Terra ('Mm' sta per 1000km).


    [ Rotazione della Terra e di un satellite geostazionario (da Wikipedia − vedi anche qui) ]

  • Esperimento concettuale di Newton ('cannone di Newton') per spiegare perché le mele cascano e la luna gira:


    Da quanti chilometri da San Pietro è stata effettuata, approssimativamente, questa foto?
     

    Terra e pianeti interni il giorno dell'equinozio di primavera:

    Moto circolare uniforme

    Fasi di Venere (è quasi nella congiunzione inferiore: ultimi giorni per osservarla dopo il tramonto!)

    Lune di Giove nelle prossime tre sere (intorno a mezzanotte)
     

    Spettro elettromagnetico

    Wikipedia: Lux (con tabella di illuminamento, in particolare luna piena)

    Tabella di valori di illuminamento in lux Storia dell'efficienza luminosa


    [ Storia dell'efficienza luminosa (Y. Narukawa et al.), ove 'lm' sta per lumen ]
     
    Per confronto,

     
     
     
    [ Ma può essere più utile memorizzare i reciproci degli angoli espressi in radianti! ]
    [ E, comunque, le dimensioni angolari variano da persona a persona ]

     
     
     

    Da Wikipedia. Attenzione: i tre 'c' sono numericamente diversi, come si evince dalle diverse pendenze.  ]
     
     
    Per capire la difficoltà pratica per definire una scala ufficiale di temperature vedi la Scala Internazione di Temperature del 1990, e in particolare le tabelle (Niente a che vedere con metro, chilogrammo e secondo!)
     
               
    [Posizione dei pianeti il giorno di inizio del corso (immagine a destra non in scala!) da screenshot di app android]