Next: Critica della ``teoria degli
Up: Appendice critica
Previous: Appendice critica
  Indice
Valutazioni usuali delle incertezze
Vediamo ora quali sono le tecniche di valutazione
delle incertezze (``errori'') usate dalla
maggior parte
dei laureati in materie scientifiche e tuttora insegnate
nelle scuole secondarie superiore e anche all'Università (si noti come
alcuni metodi variano
leggermente a seconda dell'Università di provenienza;
nel seguito si fa riferimento
a quello che, grosso modo, rappresenta lo standard romano).
Cominciamo esaminando attentamente la seguente
lista di nozioni tipiche. Esse saranno analizzate in dettaglio
nei prossimi paragrafi. Questa lista era stata originariamente
elaborata per l'introduzione ad una serie di seminari tenuti
alla fine del 1996 ad insegnanti dell'AIF
e serviva a valutare il background comune.
- ``Propagazione degli errori massimi'':
 |
(A.1) |
ad esempio
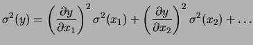
- ``Propagazione degli errori statistici'':
 |
(A.2) |
ad esempio
- Regola della ``mezza divisione'':
divisione |
(A.3) |
- I punti sperimentali vanno riportati sui grafici sempre
con le ``barre di errore''.
- Rette di massima e di minima pendenza.
- Avendo eseguito un numero
``abbastanza grande'' di misure,
il risultato
va riportato come
Inoltre, molto importante:
che significato si attribuisce a queste due espressioni?
Il risultato del sondaggio
(confermato sostanzialmente
in altri seminari e corsi di perfezionamento)
è stato che:
- i partecipanti conoscevano
molto bene questi concetti, con eccezione del punto 2;
- per quanto riguarda il punto 3, alcuni mostravano addirittura
una preferenza ad una stima dell'incertenza più conservativa
(
divisione);
- sulla scelta fra
e
,
c'era una netta preferenza ad utilizzare come incertezza il valore
della deviazione standard delle singole misure anziché
dividerlo per
(``altrimenti diventa troppo piccolo'').
Comunque, a parte il numero da
mettere nell'espressione, c'era l'unanime consenso
che l'espressione stesse a significare ``una certa probabilità che
sia compreso nell'intervallo''.
Next: Critica della ``teoria degli
Up: Appendice critica
Previous: Appendice critica
  Indice
Giulio D'Agostini
2001-04-03