Next: Valore atteso di distribuzioni
Up: Previsione (o valore atteso)
Previous: Osservazioni su terminologia e
  Indice
Valore atteso di una
funzione di una variabile casuale
Se
è una variabile casuale, anche la generica
funzione
è una variabile casuale, in quanto,
se siamo in stato di incertezza rispetto a
, siamo
in genere6.12 in stato
di incertezza rispetto ad una sua funzione.
Nel caso di variabile discreta, la probabilità che la funzione
assuma il valore
è
uguale6.13
alla probabilità che
assuma il valore
, ovvero
:
 |
(6.26) |
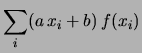
Ne segue l'espressione
del valore atteso di una generica funzione:
E![$\displaystyle [g(X)] = \sum_i g(x_i)\, f(x_i)\,.$](img1074.png) |
(6.27) |
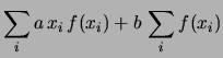
Nel caso semplice di variabile casuale
che dipende
linearmente da
, ovvero
, si ha il seguente risultato:
ovvero
E
si comporta formalmente come
un operatore lineare. Nel caso generale invece
E
E
.
Next: Valore atteso di distribuzioni
Up: Previsione (o valore atteso)
Previous: Osservazioni su terminologia e
  Indice
Giulio D'Agostini
2001-04-02