Next: pzd100 Entropia come misura
Up: Variabili casuali e distribuzioni
Previous: Proprietà formali di varianza
  Indice
pzd100 Momenti di una
distribuzione e altri indicatori di forma
Abbiamo visto come valore atteso e varianza
di una distribuzione di probabilità hanno una analogia
formale con il baricentro e il momento di inerzia di una
distribuzione
di punti materiali.
Allo stesso modo,
Si può definire
nel modo più generale
E
il momento di ordine r di
rispetto a c.
Se
è pari a zero si parla semplicemente di momento di ordine
.
In termini di momenti il valore atteso e la varianza hanno le sequenti
definizioni:
- il valore atteso è pari al momento primo di
;
- la varianza è pari al momento secondo di
rispetto a
.
Accenniamo ad altri due momenti che possono essere utili
per quantificare la forma della distribuzione, anche se non
ne faremo alcun uso per quanto riguarda le applicazioni.
Per convenienza essi sono divisi per una potenza di ordine
della deviazione standard, scala tipica degli scarti.
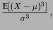
- la skewness, definita come
misura il grado di asimmetria
della distribuzione rispetto alla media. Infatti,
nel caso di distribuzione simmetrica la previsione degli scarti
(con segno) è nulla.
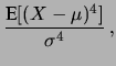
- La curtosi, definita come
indica quanto una distribuzione è ``aguzza''. Un valore
grande sta ad indicare che è molto probabile trovare
la variabile casuale entro circa
dalla media
e, nello stesso tempo, sono possibili grandi valori
dello scarto (i quali danno un contributo a
E
maggiore di quanto lo diano a
).
Per capire le informazioni complementari fornite dai vari momenti,
si possono considerare queste due semplici distribuzioni:
-
:
;
-
, con
, 4, 5, 5, 6 e 9.35.
Esse hanno stesso valore atteso (
), deviazione
standard (
) e skewness (uguale a 0, in quanto
entrambe simmetriche rispetto al baricentro).
Differiscono solo per la curtosi, uguale a 1.8 nella prima (uniforme)
e 2.8 nella seconda (costituita
da quattro valori valori raggruppati e da due ``lontani'').
Next: pzd100 Entropia come misura
Up: Variabili casuali e distribuzioni
Previous: Proprietà formali di varianza
  Indice
Giulio D'Agostini
2001-04-02