Next: Ricapitolando
Up: Altre distribuzioni di interesse
Previous: di Student
  Indice
La distribuzione di Fisher (o di Fisher-Snedecor) chiamata anche
semplicemente
è data da
F |
(8.50) |
Talvolta la variabile che segue la distribuzione
è indicata anch'essa con il simbolo
.
I parametri
e
, non necessariamente intero è detti
numeri di gradi di libertà.
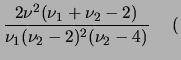
Valore atteso e varianza sono:
E |
 |
se  |
(8.51) |
Var |
 |
se  |
(8.52) |
La moda vale
se
, altrimenti
essa vale 0.
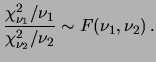
La proprietà che rende interessante la distribuzione di Fisher
è la seguente: se due variabili
e
sono indipendenti, allora il
rapporto fra le due variabili, ciascuna divisa per il proprio numero
di gradi di libertà, è distribuita secondo una
:
 |
(8.53) |
Next: Ricapitolando
Up: Altre distribuzioni di interesse
Previous: di Student
  Indice
Giulio D'Agostini
2001-04-02