Next: pzd100Uso della prior coniugata
Up: Caso generale di inferenza
Previous: Caso di con prior
  Indice
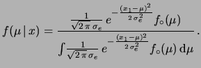
Come visto più volte nei paragrafi precedenti, la combinazione
di risultati si ottiene iterando l'apprendimento bayesiano.
Se abbiamo
osservazioni
in intervalli di tempo di
uguale durata
(o in regioni spaziali uguali, se il problema è nel dominio
dello spazio) e partiamo da una distribuzione di
uniforme,
abbiamo (a parte irrilevanti fattori moltiplicativi):
avendo riconosciuto in
una distribuzione Gamma. Otteniamo
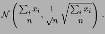
quindi dalle (8.40)-(8.42)
E |
 |
 |
(12.55) |
 |
 |
 |
(12.56) |
Moda |
 |
 |
(12.57) |
Come al solito, per
abbiamo una distribuzione gaussiana
Next: pzd100Uso della prior coniugata
Up: Caso generale di inferenza
Previous: Caso di con prior
  Indice
Giulio D'Agostini
2001-04-02