Next: Adattamento di curve ai
Up: Matrice di covarianza di
Previous: Normalization uncertainty
  Indice
Let us assume there are
independently
measured values
and
calibration constants
with their covariance matrix
. The latter
can also be theoretical parameters influencing the data, and
moreover they may be
correlated, as usually
happens if, for example, they are parameters of a calibration fit.
We can then include the
in the vector that contains the
measurements and
in the covariance matrix
:
 |
(14.33) |
The corrected quantities are obtained from the most general
function
 |
(14.34) |
and the covariance matrix
from the covariance propagation
.
As a frequently encountered example, we can think of several
normalization constants, each affecting a subsample of the data -
as is
the case where each of several detectors
measures a set of physical quantities.
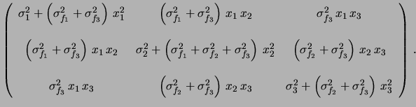
Let us consider just three quantities
(
) and three
uncorrelated
normalization standard uncertainties (
),
the first common to
and
, the second to
and
and the third to all three.
We get the following covariance matrix:
 |
(14.35) |
Next: Adattamento di curve ai
Up: Matrice di covarianza di
Previous: Normalization uncertainty
  Indice
Giulio D'Agostini
2001-04-02