Next: Note sui fit lineari
Up: Misura della velocità di
Previous: Misura della velocità di
  Indice
Se una
pompa da vuoto è connessa ad un recipiente essa comincerà
ad aspirare il gas ( aria ) in esso contenuto, causando così
una di differenza di pressione negativa
(depressione ) rispetto alla pressione atmosferica.
La depressione finale ottenibile nel recipiente dipende dalla
depressione che la pompa produrebbe ``in assenza di carico''
e dalle eventuali perdite
nella linea del vuoto (definita come l'insieme della pompa,
recipienti, tubi, raccordi, rubinetti e manometri opportunamente
connessi fra di loro). Nel caso di ``vuoto spinto'' entrano
in gioco effetti dovuti
alla emissione di ioni da parte delle pareti interne degli
elementi e che dipendono dal tipo di materiale, temperatura etc.
Dall'istante in cui il circuito e' chiuso (a tenuta)
l'andamento della depressione D in funzione del tempo è di tipo
esponenziale, caratterizzato da una costante di tempo
:
 |
(35) |
E' preferibile esprimere
la (1) come:
 |
(36) |
o
 |
(37) |
Dove
è la pressione misurata all'istante
,
è la
pressione all'istante
( ovvero la pressione atmosferica in assenza di errori di misura sul tempo
e di incertezze dovute al fatto che la chiusura non avviene
istantaneamente )
e
è la pressione
raggiunta asintoticamente.
Si può linearizzare la (3) prendendo i logaritmi naturali
di entrambi i membri:
 |
(38) |
Dal punto di vista dimensionale la (4) è scorretta. Infatti è noto
che gli argomenti di logaritmi ed esponenziali devono essere
adimensionali. La si può far diventare corretta con un piccolo
trucco,
consistente nel dividere l'argomento della funzione per la sua
unità di misura. Essendo i valori della pressione sul vacuometro
che si utilizza espressi in centimetri di mercurio otteniamo:
 |
(39) |
Si può quindi misurare
come
risultato di un fit lineare di
in funzione di
:
 |
(40) |
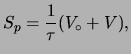
L'esperienza consiste nel misurare la costante di tempo per tre
recipienti di volume diverso e successivamente di verificare che
la velocità di aspirazione
 |
(41) |
è una grandezza che non dipende dal
volume totale
della linea di vuoto.
è pari alla somma del volume del recipiente
più il volume
del resto della linea4.
La relazione fra
la costante di tempo e il volume del recipiente
è:
 |
(42) |
Per verificare la (8)
si riportano su un grafico i tre valori di
misurati
in corrispondenza di ciascun volume
.
Si possono quindi determinare i valori di
e di
dai parametri di un fit lineare di
in funzione di
e confrontare il valore di
ottenuto dal fit
con quello misurato direttamente.
Next: Note sui fit lineari
Up: Misura della velocità di
Previous: Misura della velocità di
  Indice
Giulio D'Agostini
2001-04-02