next up previous contents
Next: Estrapolazioni Up: Misura della velocità di Previous: Propagazione delle incertezze   Indice

Riepilogo delle formule del fit lineare

Si supponga di avere due variabili $ X$ e $ Y$ fra le quali esista una relazione lineare

$\displaystyle Y=mX + c$ (44)

e di aver misurato, in corrispondenza di ogni valore di $ x_i$ un valore di $ y_i$ con la sua incertezza standard $ \sigma_{y_i}$. Si suppone inoltre che i punti sperimentali siano indipendenti e che l'incertezza sui valori della variabile $ X$ sia trascurabile. Si vogliono conoscere i parametri della retta che descrive meglio i punti sperimentali. Riassumiamo brevemente i risultati che si ottengono dalla minimizzazione del $ \chi^2$:

  1. $ \sigma_{y_i}$ tutte uguali.

    Parametri:
    $\displaystyle \widehat{m}$ $\displaystyle =$ $\displaystyle \frac{Cov(X,Y)}{Var(X)}$ (45)
    $\displaystyle \widehat{c}$ $\displaystyle =$ $\displaystyle \overline{y} - \widehat{m}\overline{x}$ (46)

    Incertezze standard sui parametri:
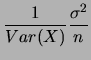
    $\displaystyle Var(\widehat{m})$ $\displaystyle =$ $\displaystyle \frac{1}{Var(X)}\frac{\sigma^2}{n}$ (47)
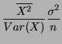
    $\displaystyle Var(\widehat{c})$ $\displaystyle =$ $\displaystyle \frac{\overline{X^2}}{Var(X)}\frac{\sigma^2}{n}$ (48)
    $\displaystyle Cov(\widehat{m},\widehat{c})$ $\displaystyle =$ $\displaystyle -\frac{\overline{X}}{Var(X)}\frac{\sigma^2}{n}$ (49)

    Dove
    $\displaystyle Cov(X,Y)$ $\displaystyle =$ $\displaystyle \overline{XY} - \overline{X}\overline{Y}$  
    $\displaystyle Var(X)$ $\displaystyle =$ $\displaystyle \overline{X^2}-\overline{X}^2$  

    Se $ \sigma^2$ è ignota, essa va ricavata dai residui:

    $\displaystyle \sigma^2 = \frac{1}{n-2}\sum_i(y_i-\widehat{m}x_i-\widehat{c})^2.$

  2. $ \sigma_i$ note e diverse fra loro: si utilizzano le stesse formule (11-15), con le seguenti modifiche:

  3. $ \sigma_i$ diverse fra loro e note a meno di un fattore di scala: questo è esattamente il caso della misura della costante di tempo. Il procedimento da seguire è descritto in dettaglio in questo promemoria.



Subsections
next up previous contents
Next: Estrapolazioni Up: Misura della velocità di Previous: Propagazione delle incertezze   Indice
Giulio D'Agostini 2001-04-02