L'inferenza probabilistica: ruolo nelle scienze sperimentali
e suggerimenti per il suo insegnamento
 
Giulio D'Agostini
Dipartimento di Fisica, Università di Roma La Sapienza
(giulio.dagostini@roma1.infn.it)


[Contributo su invito per Dossier Statistica di TRECCANI Scuola, Febbraio 2010.]
 

Dai dati sperimentali alla conoscenza scientifica

Mi piace rappresentare l'attività del `fisico' con il seguente diagramma. (Nel seguito mi riferirò spesso alla `Fisica', ma solo per bias personale e perché essa è comunemente percepita come la Scienza della Natura per antonomasia, essendo il carattere delle argomentazioni che seguiranno del tutto generale.)

Il punto di partenza sono le osservazioni sul mondo esterno, le quali possono essere di varia natura e qualità: pura constatazione di fenomeni spontanei o dati sperimentali in condizioni controllate; da resoconti qualitativi a misure effettuate con strumenti precisi e ben calibrati, con tutte le sfumature intermedie.

Ma una Scienza non è una semplice lista di fatti.

Come è ben noto, il passaggio dalle osservazioni alla teoria non è affatto automatico. Da sempre l'uomo ha visto `mele' cadere e la luna errare nel cielo, ma bisognava attendere Newton per capire che sono due aspetti dello stesso fenomeno, come perfettamente illustrato nella famosa figura dei Principia Matematica (opera contenente, fra l'altro, le leges motus):

[A proposito, proprio all'inizio del 2010 la Royal Society ha messo a disposizione la versione digitale del documento che parla del celebre aneddoto, vedi anche qui o qui.]

Incertezza

Vediamo ora il ruolo dei punti interrogativi del diagramma iniziale. Essi rappresentano incertezza: siamo in condizioni di incertezza sulle teorie e/o sui loro parametri; siamo in condizioni di incertezza su quanto misureremo nelle osservazioni future.

Cominciamo dalla freccia a destra, che in un certo è quella più importante e rende conto anche di quella a sinistra. L'incertezza di previsione può essere dovuta a diverse ragioni.

Dagli effetti alle cause che li hanno prodotti

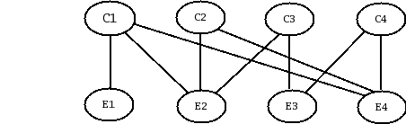
Per chiarire la ragione del punto interrogativo a sinistra, conviene usare dei nomi più generali per quello che abbiamo chiamato finora teoria (inclusi i suoi parametri) e osservazioni. Possiamo considerare le ultime come effetti che discendono da cause, secondo lo schema seguente.
Diventa chiaro quindi che, se più cause apparenti (ad esempio C1, C2 e C3 nel diagramma) possono produrre lo stesso effetto (E2), avendo osservato tale effetto siamo incerti a quale causa attribuirlo.

Per esempio, e questo è il toy model da me preferito, invece di una sola scatola con 3 palline bianche e 2 nere, si può pensare alle 6 possibili scatole contenenti 5 palline, che chiamiamo H0, H1, ..., H5, dove l'indice indica il numero di palline bianche e il simbolo H sta a ricordare che sono le ipotesi in gioco.

Prendiamo una scatola a caso ed estraiamo una pallina. Esce bianco (B). Quale scatola avevamo preso? Possiamo reintrodurre la pallina, agitare e andare avanti con l'esperimento. I dati sperimentali (la sequenza osservata) modificano a mano a mano la nostra opinione sulla scatola misteriosa. Di consequenza cambieranno anche le nostre aspettative sul tipo di pallina che andremo ad estrarre.

È chiara l'analogia con il processo di misura. A causa degli inevitabili errori di misura, un valore vero (μ) non produce in modo univoco un valore osservato (x). Quindi, avendo osservato x non siamo certi sul valore di μ.

Il fatto che l'indice con il quale identifichiamo le scatole sia un intero nell'intervallo [0,5], mentre a μ si associa generalmente una variabile continua, non cambia la natura del problema. Ne risulta invece decisamente semplificata la comprensione del processo mentale attraverso il quale aggiorniamo le nostre opinioni sia sulle teorie e i loro parametri, sia sulle future osservazioni.

Il problema essenziale del metodo sperimentale

Abbiamo quindi ricondotto l'apprendimento dall'esperienza a quello che Poincaré chiamava in Scienza e Ipotesi un “problema nella probabilità delle cause” e che sosteneva essere “il problema essenziale del metodo sperimentale”.

È curioso constatare come in genere si insegni per poco, male o per niente a risolvere problemi del genere, riconosciuti come essenziali da oltre un secolo e che richiedono una matematica assolutamente elementare - nel caso discreto non serve più dell'aritmetica!
[Chi scrive sta tenendo in questi mesi un corso di Probabilità e Incertezza di Misura al dottorato in Fisica della Sapienza e sembra incredibile che, dei quasi venti brillantissimi giovani, nessuno era inizialmente in grado di affrontare in modo quantitativo il problema delle sei scatole, che è diventato quindi il motivo conduttore di una parte del corso. Similmente, della decina di studenti di matematica che seguivano inizialmente il corso di Preparazione di Esperienze Didattiche, nessuno era in grado di risolvere semplici problemi pratici della probabilità delle cause, pur avendo seguito nella triennale almeno un corso di probabilità.]

Quello dell'insegnamento del ragionamento probabilistico, con un approccio che lo renda applicabile ad una grande varietà di problemi, sembra un problema antico, del quale, si lamentava già Leibnitz tre secoli fa, come ci ricorda Hume che così scriveva a metà del '700 nell'Estratto di un Trattato della Natura Umana: “The celebrated Monsieur Leibniz has observed it to be a defect in the common systems of logic, that they are very copious when they explain the operations of the understanding in the forming of demonstrations, but are too concise when they treat of probabilities, and those other measures of evidence on which life and action entirely depend, and which are our guides even in most of our philosophical speculations”.

Dalla probabilità degli effetti alla probabilità delle cause

Riprendiamo il nostro esperimento didattico (non virtuale, in quanto, anzi, si presta molto bene ad essere eseguito e discusso anche in una classe di liceo) delle sei scatole. È molto facile valutare la probabilità degli effetti, ovvero di P(Ej|Hi), ove E1=B, bianco, e E2=N, nero:
P(Ej|Hi)
PallinaScatola
  H0 H1 H2 H3 H4 H5
E1=B 01/52/5 3/54/51
E2=N 14/53/5 2/51/50
Ora resta da fare la cosiddetta inversione di probabilità, ovvero valutare la probabilità delle diverse cause dati gli effetti osservati. Questa può essere effettuata soltanto mediante il teorema di Bayes, che ci fornisce la seguente regola di aggiornamento: P(Hi|Ej) = P(Ej|Hi)×P(Hi) / P(Ej), dove P(Hi) è la probabilità iniziale (`prior') delle diverse ipotesi, la quale viene riaggiornata alla luce dei dati sperimentali.

Inizialmente P(Hi) vale 1/6 per ogni i, mentre P(Ej) vale 1/2 per ogni j, data la simmetria del problema, e la formula di Bayes ci fornisce i valori di probabilità P(Hi|B) modificati dal dato sperimentale. In particolare, P(H0|B)=0, ovvero l'ipotesi `tutte nere' viene `falsificata' in quanto essa non può generare l'effetto `pallina bianca' (il falsificazionismo viene prontamente recuperato nella cosidetta statistica Bayesiana come caso particolare), mentre la nostra credenza nelle altre scatole diventa proporzionale al numero di palline bianche (e su questo l'approccio sì/no del falsificazionismo non dice nulla!).

Previsione delle osservazioni future dalle osservazioni del passato mediate dalla teoria

Come si capisce bene, la probabilità di una pallina bianca ad una eventuale seconda estrazione (previo reimbussolamento) aumenta, in quanto, pur restando costante la risposta del rivelatore [questa è l'illuminante rilettura di P(Ej|Hi) per la successive applicazioni nella trattazione delle incertezze di misura], il peso delle ipotesi è ora sbilanciato verso grandi i [infatti la formula generale che dà la probabilità di bianco o nero tenendo conto di tutte le ipotesi in gioco, ovvero P(Ej)=ΣiP(Ej|Hi)×P(Hi), è proprio una media pesata, in quanto ΣiP(Hi)=1].

Il resto del `giochino' è riportato in un numero speciale dell'American Journal of Physics, disponibile anche nell'arXiv in forma di preprint. Nell'articolo vengono anche discussi diversi aspetti dell'insegnamento della probabilità nei corsi di Laurea in Fisica (con ricadute anche nell'insegnamento secondario) e, come sottolinea il titolo, il ruolo chiarificatore e unificatore dell'approccio soggettivo.

Applicazioni alle incertezze di misura

Il passaggio a valori incerti continui è anche discusso nell'articolo, con ovvia applicazione al caso delle misure, ovvero come ricavare f(μ|x) a partire da f(x|μ), dove f() sta per la `funzione di densità di probabilità';, nel caso elementare di distribuzione `normale', ovvero gaussiana, degli errori.

Per altre applicazioni, inclusa risposta del rivelatore non gaussiana (di fondamentale importanza sono quelle binomiali e poissoniane, che giocano un ruolo essenziale nelle misure di conteggio), trattazione delle incertezze dovute ad errori sistematici, propagazione di incertezze, fit e molto altro (ma sempre con un approccio consistente, basato sulla teoria della probabilità, invece delle usuali formulette ad hoc) si può consultare l'abbondante materiale nel sito dell'autore, in particolare nella pagina dedicata all'insegnamento e a quella dedicata a probabilità e statistica.