next up previous contents
Next: Combinazione di più risultati Up: Misure di conteggio in Previous: Valutazione parametro della Poissoniana   Indice

Valutazione di $ p$ di una distribuzione binomiale

Ci possiamo comportare in un modo analogo nell'effettuare inferenze su parametro $ p$ di una binomiale. Consideriamo in questo caso l'esperienza simulata del pallinometro a due file di chiodi, in particolare il primo risultato ottenuto nel bin 0 lanciando 1000 palline (vedi tabella 1.3). Abbiamo ottenuto 254 palline. Assumiamo di non conoscere i dettagli costruttivi del pallinometro e che questa sia la sola informazione in nostro possesso. Cosa possiamo dire sulla probabilità che in un prossimo lancio fatto nelle stesse condizioni la pallina cada di nuovo nel bin 0? Intuitivamente diciamo il 25.4%, ma anche altri (infiniti) valori sono compatibili con i dati sperimentali. Diciamo che, in ogni caso, sembra fortemente ragionevole di essere in presenza di un processo descritto da una distribuzione binomiale avente $ n=1000$ e $ p\approx 0.25$, ovvero E$ (X)\approx 250$, valore per il quale la distribuzione è circa normale. Abbiamo quindi, sulla traccia del caso precedente:
$\displaystyle X$ $\displaystyle \sim$ $\displaystyle {\cal B}_{n\,p} \rightarrow {\cal N}(n\,p, \sqrt{n\,p\,(1-p)})$  
       
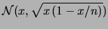
$\displaystyle (n\,p)$ $\displaystyle \sim$ $\displaystyle {\cal N}(x, \sqrt{x\,(1-x/n)})$  
       
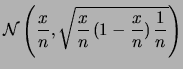
$\displaystyle p$ $\displaystyle \sim$ $\displaystyle {\cal N}\left(\frac{x}{n}, \sqrt{\frac{x}{n}\,(1-\frac{x}{n})
\,\frac{1}{n}}\right)$  
  $\displaystyle \sim$ $\displaystyle {\cal N}\left(\hat{p}, \sqrt{\frac{\hat{p}\,(1-\hat{p}}{n}}
\right)\,,$  

ove, per comodità, abbiamo indicato con $ \hat{p}$ lo stimatore di $ p$, dato da $ x/n$. Nel caso che stiamo esaminando abbiamo:

$\displaystyle p=0.254\pm 0.014\,,$

compatibile con il valore di $ 1/4$ valutato da argomenti di simmetria. Chiaramente, a questa compatibilità non va dato altro significato che quello che discende dalle leggi della probailità, ed in particolare dal teorema di Bernoulli, ovvero che sarebbe stato abbastanza improbabile osservare un valore di frequenza relativa molto distante da quello di probabilità. Nel caso in cui noi fossimo stati veramente in stato di ignoranza sul meccanismo cui cui le palline scendono saremmo stati disposti ad accettare, come valore di probabilità, un ampio spettro di valori (al limite, allo stesso modo tutti quelli fra 0 e 1). Ricordiamo come sia questo stato di indifferenza rispetto a $ p$ ad autorizzarci ad effettuare le inversioni di probabilità del tipo cane-cacciatore, che portano alle formule trovate.


next up previous contents
Next: Combinazione di più risultati Up: Misure di conteggio in Previous: Valutazione parametro della Poissoniana   Indice
Giulio D'Agostini 2001-04-02