next up previous contents
Next: Problemi Up: Misure dirette con verosimiglianza Previous: Valutazione di di una   Indice

Combinazione di più risultati sullo stesso misurando

Supponiamo di avere eseguito due determinazioni indipendenti del valore dello stesso misurando:
$\displaystyle \mu^{(1)}$ $\displaystyle =$ $\displaystyle 20.5\pm 2.5$ (10.7)
$\displaystyle \mu^{(2)}$ $\displaystyle =$ $\displaystyle 23.7\pm 1.5\,,$ (10.8)

ove si fatto uso della notazione $ \mu^{i)}$ (invece di $ \left.\mu\right\vert _{x_i}$ incontrata nel paragrafo 10.4) in quanto questi risultati possono essere basati non soltanto su una misura, ma anche su molte misure. Cosa possiamo dire su $ \mu$ in base a queste due valutazione? Si potrebbe pensare, ingenuamente, che, siccome la prima dice che $ 18.0 \le \mu \le 23.0$, e la seconda $ 22.2 \le \mu \le 25.2$, allora $ 22.2 \le \mu \le 23.0$. O forse $ 18.0 \le \mu \le 25.2$? E che significato avrebbero queste espressioni in termini probabilistici? Cerchiamo di affrontare il problema in maniera rigorosa, utilizzando i principi dell'inferenza bayesiana, pur limitandoci all'approssimazione gaussiana e a prior uniformi.

Ripetendo il ragionamento effettato al punto 1 del paragrafo 10.4, si può pensare che le due misure siano fatte in successione temporale (l'ordine non ha importanza). Questa volta entriamo però un po' più in dettaglio. Per generalizzare l'esempio numerico, indichiamo con $ \widehat{\mu}_i$ il possibile valore di previsione di $ \mu$ che può risultare dopo l'esperimento $ i$-mo. Chiaramente, prima di fare l'esperimento non possiamo sapere che valore di $ \widehat{\mu}$ si otterrà. Questo è vero anche se ipotizziamo che $ \mu$ abbia un valore ben determinato. Quindi esso può essere considerato un numero aleatorio con distribuzione densità di probabilità $ f(\hat{\mu}\,\vert\,\mu)$. Poichè i risultati espressi dalle (10.7) e (10.8) hanno il significato di distribuzioni normali di $ \mu$ intorno a $ \widehat{\mu}$, possiamo considerarli equivalenti a quanto si otterrebbe considerando una prior uniforme su $ \mu$ e una verosimiglianza $ f(\widehat{\mu}\,\vert\,\mu)$ normale. Si tratta, essenzialmente, del ragionamento opposto di quello del cane-cacciatore usato nelle inversioni di probabilità. Quindi, indicando con $ \sigma_i$ l'incertezza su $ \mu$ derivante dall'$ i$-ma misura, i risultati (10.7) e (10.8) equivalenti a quelli che si sarebbero ottenuti da una verosimiglianza del tipo

$\displaystyle \widehat{\mu}_i \sim {\cal N}(\mu_i\,\vert\,\sigma_i)\,,$

anche se, a rigore, $ \widehat{\mu}_i$ non è una quantità osservata nel senso che abbiamo descritto finora.10.8

Quindi, l'apprendimento sul valore $ \mu$ è equivalente alla seguente catena di aggiornamento:

$\displaystyle f_\circ(\mu)$ $\displaystyle \Rightarrow$ $\displaystyle f_{(1)}(\mu\,\vert\,\widehat{\mu}_1) \propto
f(\widehat{\mu}_1\,\vert\,\mu)\cdot f_\circ(\mu)$  
$\displaystyle f_\circ^\prime(\mu) = f_{(1)}(\mu)$ $\displaystyle \Rightarrow$ $\displaystyle f_{(1+2)}(\mu\,\vert\,\widehat{\mu}_1),\widehat{\mu}_1))
\propto ...
...\,\mu,\widehat{\mu}_1)\cdot
f(\widehat{\mu}_1\,\vert\,\mu)\cdot f_\circ(\mu)\,.$  

Ma poiché $ \widehat{\mu}_1$ e $ \widehat{\mu}_2$ condizionati da $ \mu$ sono indipendenti, ovvero $ f(\widehat{\mu}_2\,\vert\,\mu,\widehat{\mu}_1)=
f(\widehat{\mu}_2\,\vert\,\mu)$, abbiamo il seguente risultato10.9:

$\displaystyle f_{(1+2)}(\mu\,\vert\,\widehat{\mu}_1),\widehat{\mu}_1)) \propto ...
...idehat{\mu}_1\,\vert\,\mu) f(\widehat{\mu}_2\,\vert\,\mu) \cdot f_\circ(\mu)\,.$ (10.9)

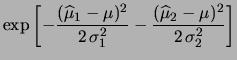
A questo punto si tratta di fare i conti. Assumendo, come detto sopra, una prior uniforme, esplicitando la funzione della distribuzione normale e riassorbendo via via tutti i fattori che non dipendono da $ \mu$ nella costante della proporzionalità, abbiamo:
$\displaystyle f_{(1+2)}(\mu)$ $\displaystyle \propto$ $\displaystyle \exp{\left[-\frac{(\widehat{\mu}_1-\mu)^2}
{2\,\sigma_1^2} -
\frac{(\widehat{\mu}_2-\mu)^2}
{2\,\sigma_2^2}
\right]}$ (10.10)
  $\displaystyle \propto$ $\displaystyle \exp{\left[-\frac{1}{2}
\left( \frac{\widehat{\mu}^2_1-2\,\wideha...
...c{\widehat{\mu}^2_2-2\,\widehat{\mu}_2\,\mu+\mu^2}
{\sigma_2^2}
\right)\right]}$  
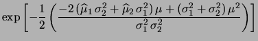
  $\displaystyle \propto$ $\displaystyle \exp{\left[-\frac{1}{2}
\left( \frac{-2\,(\widehat{\mu}_1\,\sigma...
...,\mu+
(\sigma_1^2+\sigma_2^2)\,\mu^2
}
{\sigma_1^2\,\sigma_2^2}
\right)\right]}$  
  $\displaystyle \propto$ $\displaystyle \exp{\left[-\frac{1}{2}
\left( \frac{-2\left(\frac{\widehat{\mu}_...
...\mu^2
}
{\frac{\sigma_1^2\,\sigma_2^2}{\sigma_1^2+\sigma_2^2}
}
\right)\right]}$  
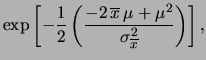
  $\displaystyle \propto$ $\displaystyle \exp{\left[-\frac{1}{2}
\left(\frac{-2\,\overline{x}\,\mu+\mu^2}
{\sigma^2_{\overline{x}}}
\right)\right]}\,,$ (10.11)

ove $ \overline{x} $ e $ \sigma_{\overline{x}}$ stanno per
$\displaystyle \overline{x}$ $\displaystyle =$ $\displaystyle \frac{\frac{\widehat{\mu}_1}{\sigma_1^2}+
\frac{\widehat{\mu}_2}{\sigma_2^2} }
{\frac{1}{\sigma_1^2}+\frac{1}{\sigma_1^2}}$ (10.12)
$\displaystyle \frac{1}{\sigma^2_{\overline{x}}}$ $\displaystyle =$ $\displaystyle \frac{1}{\sigma^2_1} + \frac{1}{\sigma^2_2}\,.$ (10.13)

A questo punto, moltiplicando per la costante $ \exp[-2\,\overline{x}^2/
\sigma^2_{\overline{x}}]$ (anche questo è lecito) otteniamo finalmente

$\displaystyle f_{(1+2)}(\mu) \propto \exp{\left[ -\frac{(\mu-\overline{x})^2} {2\,\sigma^2_{\overline{x}}}\right]}\,.$ (10.14)

Abbiamo trovato quindi il seguente importante risultato:

$\displaystyle \mu^{(1+2)} \sim {\cal N}(\overline{x}, \sigma_{\overline{x}})\,, $

con $ \overline{x}=$E$ (\mu^{(1+2)})$ e $ \sigma_{\overline{x}}$ definite dalle (10.12) e (10.13).

Le formule che danno $ \overline{x} $ e $ \sigma_{\overline{x}}$ sono conosciute come combinazione dei risultati con gli inversi dei quadrati delle varianze. Si tratta di una media pesata, ove il peso di ogni ``punto sperimentale'' è pari all'inverso della varianza associata alla sua incertezza. Si noti come il peso della combinazione dei risultati è pari alla somma dei pesi di ciascun risultato parziale. Nel caso dell'esempio numerico con il quale abbiamo iniziato la discussione abbiamo:

$\displaystyle \mu^{(1+2)} = 22.7\pm 1.3\,.$

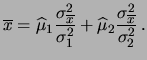
Come deriva dalle (10.12) e (10.13), l'incertezza standard è inferiore di ciascuna delle due incertezze standard individuali e la previsione è in una posizione intermedia, ma più vicino alla stima associata al risultato più preciso. Questo è particolarmente evidente se riscriviamo la formula (10.12) nel seguente modo:

$\displaystyle \overline{x} = \widehat{\mu}_1\frac{\sigma_{\overline{x}}^2} {\sigma_1^2} + \widehat{\mu}_2\frac{\sigma_{\overline{x}}^2} {\sigma_2^2}\,.$ (10.15)


next up previous contents
Next: Problemi Up: Misure dirette con verosimiglianza Previous: Valutazione di di una   Indice
Giulio D'Agostini 2001-04-02