...scommessa1.1
Si immagini di fare una scommessa con puntate uguali contro una ipotetica persona che accetterebbe. Ci si rende conto che se uno è fortemente propenso a scommettere in favore del verificarsi di un evento, difficilmente si troverà una persona che scommetta la stessa puntata contro, a meno che non sia un ``pollo''. Tale scommessa non è quindi equa. Variando invece il rapporto delle puntate si può invece arrivare al punto in cui si è indecisi se scommettere in favore o contro. Questi argomenti saranno trattati quando si formalizzerà il concetto di probabilità. Per ora, quando si parla di scommesse si pensi sempre di giocare alla pari con l'intento di vincere.
.
.
.
.
.
.
.
.
.
.
.
.
.
.
.
.
.
.
.
.
.
.
.
.
.
.
.
.
.
.
... quinconce1.2
Con quinconce non si intende nient'altro che il modo di disporre degli oggetti a righe sfalsate, come mostrato in figura 1.2.
.
.
.
.
.
.
.
.
.
.
.
.
.
.
.
.
.
.
.
.
.
.
.
.
.
.
.
.
.
.
... Experiment''1.3
Ad essere franchi il quinconce meccanico è una specie di assurdità didattica. Molto spesso infatti la teoria del suo funzionamento viene presentata come se fosse effettivamente la migliore descrizione del movimento delle palline. Invece è lo strumento che viene costruito allo scopo di rappresentare un modello di moto casuale che sia ha già in mente e che nessun quinconce reale riuscirà mai a riprodurre. Per questo è preferibile la ``sua simulazione'' al computer (il termine simulazione è improprio in quanto - ripetiamo - con il computer non si prova a simulare nessuna realtà, ma si ottiene semplicemente una migliore realizzazione pratica del modello di cammino casuale ideale).
.
.
.
.
.
.
.
.
.
.
.
.
.
.
.
.
.
.
.
.
.
.
.
.
.
.
.
.
.
.
... nell'estremo2.1
La massa equivalente ai fini dell'inerzia del sistema e localizzata all'estremità della molla è pari a un terzo della massa della molla.
.
.
.
.
.
.
.
.
.
.
.
.
.
.
.
.
.
.
.
.
.
.
.
.
.
.
.
.
.
.
... ottiene2.2
Si noti come il valore di $ 4\pi^2 = 39.5$ è riportato con 3 cifre in quanto ulteriori cifre sarebbero ininfluenti alla fine del risultato finale, come sarà chiarito nel paragrafo 3.4.
.
.
.
.
.
.
.
.
.
.
.
.
.
.
.
.
.
.
.
.
.
.
.
.
.
.
.
.
.
.
... (ovvero3.1
Per ora consideriamo che l'incertezza della misura sia dell'ordine di grandezza dell'ultima cifra registrata.
.
.
.
.
.
.
.
.
.
.
.
.
.
.
.
.
.
.
.
.
.
.
.
.
.
.
.
.
.
.
...sostanzialmente3.2
In questo caso in effetti due cifre significative sembrano poche, ma tre sembrano troppe. È chiaro che il numero di cifre significative dipende dal sistema di numerazione adottato. Per esempio le tre cifre significatice di ``125'' diventano sette nel sistema binario (``1111101'') e si riducono a due nel sistema esadecimale (``7D''). Vedremo al momento opportuno come presentare il risultato con il numero di cifre significative che dipende dalla qualità della misura effettuata e non dall'uso del sistema decimale.

Un esempio estremo che mostra molto bene le grandi discontinuità prodotte da un uso ferreo delle regole sulle cifre è il seguente:

$\displaystyle 3.6\times 2.8$ $\displaystyle =$ $\displaystyle 10\,,$  
ma $\displaystyle 3.6\times 2.7$ $\displaystyle =$ $\displaystyle 9.7\,.$  

Nel primo caso la cifra meno significativa è un decimo del valore della grandezza, nel secondo un centesimo. Chi legge soltanto i due risultati è indotto a pensare, erroneamente, che i due risultati derivino da esperimenti di diverso livello di qualità.
.
.
.
.
.
.
.
.
.
.
.
.
.
.
.
.
.
.
.
.
.
.
.
.
.
.
.
.
.
.
... addendi.3.3
Per la serie ``ci vuole più a dirlo che a farlo''...
.
.
.
.
.
.
.
.
.
.
.
.
.
.
.
.
.
.
.
.
.
.
.
.
.
.
.
.
.
.
... rispettivamente3.4
L'uso del logaritmo decimale mostra meglio l'effetto delle cifre significative del logaritmo semplicemente dovute alla posizione della virgola. In questo caso si otterrebbe rispettivamente 0.930, 4.930, -0.070 e -4.070.
.
.
.
.
.
.
.
.
.
.
.
.
.
.
.
.
.
.
.
.
.
.
.
.
.
.
.
.
.
.
... eccesso;3.5
Le operazioni automatiche tendono a tranquillizzare gli indecisi (per la serie ``lo ha detto il computer'').
.
.
.
.
.
.
.
.
.
.
.
.
.
.
.
.
.
.
.
.
.
.
.
.
.
.
.
.
.
.
... analisi4.1
Gli istogrammi del tipo di quelli mostrati in figura 4.2 vanno visti come funzionali alla costruzione delle tabelle
.
.
.
.
.
.
.
.
.
.
.
.
.
.
.
.
.
.
.
.
.
.
.
.
.
.
.
.
.
.
... conteggi4.2
Ricordiamo che formando segnali logici (``sì'' o ``no'') dagli impulsi elettrici in uscita dal fotomoltiplicatore si era già persa l'informazione esatta sulla ionizzazione prodotta.
.
.
.
.
.
.
.
.
.
.
.
.
.
.
.
.
.
.
.
.
.
.
.
.
.
.
.
.
.
.
...ragionevole.4.3
Qualcuno sarebbe tentato di parlare di ipotesi corretta (``vera''). Non ci vuole molto a convincersi che quando ha a che vedere con fenomeni aleatori, è raro che si possa arrivare a definire certa, o vera, una data ipotesi.
.
.
.
.
.
.
.
.
.
.
.
.
.
.
.
.
.
.
.
.
.
.
.
.
.
.
.
.
.
.
... classe4.4
Sottolineamo che questi istogrammi sono utili non soltanto per avere una rappresentazione grafica delle informazioni, ma anche per contare le occorrenze di ciascuna classe. Quindi, anche se per ragioni didattiche le tabelle 4.1 e 4.2 sono state introdotte prima degli istogrammi di figura 4.2, in realtà questi ultimi sono stati fatti per primi. Per convincersi che tali istogrammi rappresentano il modo più rapido e sicuro per contare occorrenze multiple si suggerisce di provare, come esercizio, a ricostruire le frequenze di conteggio per $ T=3\,$s a partire dai dati di tabella 1.1.
.
.
.
.
.
.
.
.
.
.
.
.
.
.
.
.
.
.
.
.
.
.
.
.
.
.
.
.
.
.
... isolati4.5
Si noti come la pratica di considerare fuori norma dei punti isolati può creare delle strane idee sugli eventi aleatori. Ad esempio, gli eventi della figura 4.5 non hanno assolutamente niente di ``anomalo'' rispetto a quelli che sono nel mezzo della distribuzione.
.
.
.
.
.
.
.
.
.
.
.
.
.
.
.
.
.
.
.
.
.
.
.
.
.
.
.
.
.
.
... salienti.5.1
Per una interessante analisi sulla nascita della statistica, si veda I. Hacking, ``Il caso domato'', 1990 (il Saggiatore, 1994). Per esempio, a pag. 25 vi si legge la seguente il seguente passo scritto nel 1798 da J. Sinclair: ``Per statistica si intende in Germania una ricerca fatta ai fini di accertare la forza politica di un paese, o i problemi relativi agli affari si stato.''
.
.
.
.
.
.
.
.
.
.
.
.
.
.
.
.
.
.
.
.
.
.
.
.
.
.
.
.
.
.
... elementari5.2
``Elementare'' sta per una classe all'interno della quale è impossibile - o irrilevante - differenziare l'unità statistica rispetto al carattere preso in esame.
.
.
.
.
.
.
.
.
.
.
.
.
.
.
.
.
.
.
.
.
.
.
.
.
.
.
.
.
.
.
... medio5.3
Molto istruttiva e divertente, a tale proposito, è la poesia di Trilussa in cui il poeta ironizza sul fatto che se uno mangia due polli e l'altro niente, ``secondo la statistica'' essi mangiano un pollo a testa.
.
.
.
.
.
.
.
.
.
.
.
.
.
.
.
.
.
.
.
.
.
.
.
.
.
.
.
.
.
.
... statistiche5.4
Un derivato del campo di variabilità è la semidispersione massima, definita come metà del campo di variabilità.
.
.
.
.
.
.
.
.
.
.
.
.
.
.
.
.
.
.
.
.
.
.
.
.
.
.
.
.
.
.
... osservata5.5
È chiaro che la scelta della grandezza opportuna non è semplicemente parte della statistica descrittiva, ma in qualche modo è legato alla statistica inferenziale, cioè al problema di astrarre informazioni di carattere generale con cui fare eventuali predizioni per le osservazioni future a partire dai dati osservati. Questo argomento sarà trattato al momento opportuno. Nel paragrafo 5.13 è discusso un noto caso di interferenza fra statistica descrittiva e statistica inferenziale
.
.
.
.
.
.
.
.
.
.
.
.
.
.
.
.
.
.
.
.
.
.
.
.
.
.
.
.
.
.
... standard5.6
La deviazione standard come è qui definita è spesso indicata con $ \sigma _N$ o $ s_N$ o nelle calcolatrici tascabili. In molti testi il simbolo $ \sigma $ sarà riservato alla varianza delle distribuzioni di probabilità e $ s$ al suo stimatore, definito tipicamente come $ s^2= \sum_i (x_i-\overline{x})^2/(N-1)$. Come sarà commentato nel seguito (vedi paragrafi i bisogna fare attenzione a non confondere problemi di statistica descrittiva e problemi di statistica inferenziale. Inoltre bisogna anche abituarsi ad una certa flessibilità. Per questo motivo indicheremo con $ \sigma $ le deviazioni standard di distribuzioni sia statistiche che di probabilità, a meno che non sorgano ambiguità. Lo stesso discorso vale per il seimbolo `Var'.
.
.
.
.
.
.
.
.
.
.
.
.
.
.
.
.
.
.
.
.
.
.
.
.
.
.
.
.
.
.
... misure.5.7
Vedremo come il caso del contatore sia particolarmente istruttivo in quanto mostra che in certi casi non è necessaria alcuna valutazione di dispersione - preliminare o dai dati spessi - per la stima dell'incertezza. Una sola misura, accompagnata da un modello probabilistico del sistema, è sufficiente a fornire informazioni esaurienti ai fini del risultato.
.
.
.
.
.
.
.
.
.
.
.
.
.
.
.
.
.
.
.
.
.
.
.
.
.
.
.
.
.
.
... male5.8
Ad esempio, la versione italiana di EXCEL della Microsoft traduce skewness con ``asimmetria'', ma a quanto mi risulta gli statistici italiani preferiscono decisamente skewness.
.
.
.
.
.
.
.
.
.
.
.
.
.
.
.
.
.
.
.
.
.
.
.
.
.
.
.
.
.
.
... media.5.9
In generale, il momento $ k$-mo rispetto a $ c$ è definito come $ \sum_i(x_i-c)^k/N$.
.
.
.
.
.
.
.
.
.
.
.
.
.
.
.
.
.
.
.
.
.
.
.
.
.
.
.
.
.
.
... media5.10
Nel calcolo della deviazione standard i dati sulle code devono compensare con l'``ampio braccio di leva rispetto al baricentro'' l'alta frequenza di dati intorno al centro della distribuzione.
.
.
.
.
.
.
.
.
.
.
.
.
.
.
.
.
.
.
.
.
.
.
.
.
.
.
.
.
.
.
...noto6.1
In molti casi invece l'incertezza è ricavata dalle fluttuazioni dei punti sperimentali intorno all'andamento medio della curva che li descrive. Allora le barre possono essere apportate soltanto in una seconda fase di elaborazione dei dati sperimentali. Questa nota serve a sottolineare che non c'è un imperativo categorico di riportare i punti sperimentali sempre accompagnati dalle barre di incertezza.
.
.
.
.
.
.
.
.
.
.
.
.
.
.
.
.
.
.
.
.
.
.
.
.
.
.
.
.
.
.
... distribuzione'',7.1
Dire ``segue'' dà troppo l'idea che il numero aleatorio debba obbedire ad una legge, con tutti i fraintendimenti a cui tale punto di vista conduce (``un numero ritardatario al lotto deve uscire più facilmente di un altro per obbedire alle leggi della probabilità''...).
.
.
.
.
.
.
.
.
.
.
.
.
.
.
.
.
.
.
.
.
.
.
.
.
.
.
.
.
.
.
... ha7.2
Si noti come il numero di cifre con cui è espresso $ r$ non segue la regoletta che abbiamo introdotto precedentemente. Come vedremo al momento di affrontare l'inferenza statistica, l'incertezza su $ r$ è pari a 0.0024. Quindi, essendo già incerti sulla terza cifra decimale, arrotondiamo il risultato a tale cifra.
.
.
.
.
.
.
.
.
.
.
.
.
.
.
.
.
.
.
.
.
.
.
.
.
.
.
.
.
.
.
... multinomiale7.3
Si noti gli infiniti termini corrispondenti a $ n_5=0$, $ n_6=0$, etc., valgono tutti 1, in quanto o $ 0!=1$ o $ p_i^0=1$, e quindi possono essere ignorati.
.
.
.
.
.
.
.
.
.
.
.
.
.
.
.
.
.
.
.
.
.
.
.
.
.
.
.
.
.
.
... dell'Oca.7.4
Come è noto, questi giochi di società si presentano con delle varianti. La simulazione che segue è stata effettuata seguendo le regole della confezione Familienspiele della Ravensburger: alle caselle 5, 9, 23, 41 e 45 si indietreggia di quanto si era avanzato; alle caselle 14, 18, 27, 32, 36 e 50 si avanza di quanto si era già avanzato; (se dalla 18 si finisce poi alla 23, o dalla 50 alla 54, si sta fermi un giro nella casella di arrivo); dalla casella 6 si avanza alla 12 e dalla 42 si retrocede alla 30; alle caselle 19 e 52 si sta fermi due giri; alla casella 31 si ha diritto ad un ulteriore lancio di dadi (due); se si va oltre la casella 63 si rimbalza dei punti che eccedono quelli per arrivare alla 63; si vince se si arriva esattamente alla casella 63. Applicando alla lettera il regolamento, si incontrano delle condizioni di loop infinito: se, essendo nella 23, si ottiene 9 ai dati, o se dalla 31 si ottiene 5. Si è pertanto deciso di arrestarsi dopo la prima retrocessione.
.
.
.
.
.
.
.
.
.
.
.
.
.
.
.
.
.
.
.
.
.
.
.
.
.
.
.
.
.
.
...misurabile)8.1
Eventuali aggettivi o precisazioni fra parentesi nelle definizioni possono essere omessi se non generano confusione.
.
.
.
.
.
.
.
.
.
.
.
.
.
.
.
.
.
.
.
.
.
.
.
.
.
.
.
.
.
.
... vero8.2
Secondo le più recenti raccomandazioni ISO, anche l'aggettivo ``vero'' sarebbe superfluo. Per questioni didattiche faremo uso il più delle volte dell'espressione ``valore vero'', come contrapposta a ``valore misurato''.
.
.
.
.
.
.
.
.
.
.
.
.
.
.
.
.
.
.
.
.
.
.
.
.
.
.
.
.
.
.
... laboratorio8.3
In realtà oggigiorno è molto più comodo usare dispositivi a stato solido, ad esempio un diodo Zener.
.
.
.
.
.
.
.
.
.
.
.
.
.
.
.
.
.
.
.
.
.
.
.
.
.
.
.
.
.
.
...misura8.4
In inglese questa serie di operazioni è chiamata ``measurement'', e differisce da ``measure''. C'è chi vorrebbe distiguere i concetti anche in italiano e utilizzare il sostantivo ``misurazione per ``measurement''. In realtà, per essere poi coerenti si dovrebbe anche dire che la metrologia è la ``scienza della misurazione'', parlare di metodo e di principio ``di misurazione''. Nel mondo scientifico si usa comunemente misura per esprimere entrambi i concetti (nessuno parla di ``misurazione della massa del quark top'') e questa sarà la convenzione adottata in questo testo.
.
.
.
.
.
.
.
.
.
.
.
.
.
.
.
.
.
.
.
.
.
.
.
.
.
.
.
.
.
.
... misura8.5
Questa distinzione differisce dalla definizione secondo la quale la misura diretta è quella derivante da ``un'operazione di confronto tra la grandezza da misurare e un'altra grandezza ad essa omogenea assunta come unità di misura''.
.
.
.
.
.
.
.
.
.
.
.
.
.
.
.
.
.
.
.
.
.
.
.
.
.
.
.
.
.
.
... il 8.6
La definizione ISO usa l'articolo indeterminativo ``un'', consistentemente con la definizione di valere vero.
.
.
.
.
.
.
.
.
.
.
.
.
.
.
.
.
.
.
.
.
.
.
.
.
.
.
.
.
.
.
...indeterminazione8.7
In inglese è ``uncertainty''. Per confronto può essere utile sapere che il Principio di Indeterminazione viene chiamato ``Uncertainty Principle''.
.
.
.
.
.
.
.
.
.
.
.
.
.
.
.
.
.
.
.
.
.
.
.
.
.
.
.
.
.
.
... misurando'' 8.8
Definizione ISO
.
.
.
.
.
.
.
.
.
.
.
.
.
.
.
.
.
.
.
.
.
.
.
.
.
.
.
.
.
.
... vero8.9
Si capisce quindi come la definizione di valore vero come ``quello che si otterrebbe dopo una serie infinita di misure con strumentazione ideale'' non è migliore di quella ISO, anzi, questa dà l'illusione che questo valore sia, almeno idealmente, unico, mentre la definizione ISO tiene conto che le misure vengono eseguite in condizioni reali e con tutte le cause di incertezza che saranno elencate in questo paragrafo.
.
.
.
.
.
.
.
.
.
.
.
.
.
.
.
.
.
.
.
.
.
.
.
.
.
.
.
.
.
.
...accuratezza8.10
I termini inglesi equivalenti sono precision e accuracy.
.
.
.
.
.
.
.
.
.
.
.
.
.
.
.
.
.
.
.
.
.
.
.
.
.
.
.
.
.
.
...ripetitibilità8.11
Per le definizioni di ripetitibilità e riproducibilità vedi i paragrafi 10.2 e 11.2.1.
.
.
.
.
.
.
.
.
.
.
.
.
.
.
.
.
.
.
.
.
.
.
.
.
.
.
.
.
.
.
... misura8.12
È da notare che a volte si incontra il termine "calibrazione" utilizzato per indicare l'operazione di aggiustamento.

Per taratura si intende invece l'operazione mediante la quale, applicando allo strumento sollecitazioni note, si determina la corrispondenza fra i valori dell'uscita e la grandezza da misurare.

.
.
.
.
.
.
.
.
.
.
.
.
.
.
.
.
.
.
.
.
.
.
.
.
.
.
.
.
.
.
... misura8.13
Nel testo inglese delle norme DIN compare come material measure.
.
.
.
.
.
.
.
.
.
.
.
.
.
.
.
.
.
.
.
.
.
.
.
.
.
.
.
.
.
.
... l'aggiornamento9.1
Ma anche in questo caso si è imparato qualcosa, cioè che il termometro non funziona...
.
.
.
.
.
.
.
.
.
.
.
.
.
.
.
.
.
.
.
.
.
.
.
.
.
.
.
.
.
.
... critica9.2
Molto spesso si pensa che l'unico metodo scientifico valido sia quello della falsificazione. Non ci sono dubbi che, se una teoria non è in grado di descrivere i risultati di un esperimento, essa vada scartata o modificata. Ma poiché non è possibile dimostrare la certezza di una teoria, diventa impossibile decidere fra tutte le (infinite) ipotesi non falsificate. Il metodo probabilistico permette di fornire una scala di credibilità a tutte le ipotesi considerate (o rapporti di credibilità fra ogni coppia di ipotesi). Un caso in cui il metodo di falsificazione è completamente inadeguato è quello relativo agli incertezze di misura. Infatti, prendendo alla lettera tale metodo, si sarebbe autorizzati soltanto a verificare se il valore osservato sullo strumento è compatibile o no con un valore vero, niente di più. Si capisce come, con queste premesse, non si possa fare molta strada.
.
.
.
.
.
.
.
.
.
.
.
.
.
.
.
.
.
.
.
.
.
.
.
.
.
.
.
.
.
.
... osservare9.3
Attenzione a non confondere la probabilità di osservare un certo valore $ x$, subordinatamente ad un certo valore di $ \mu$, con la probabilità del valore che è stato effettivamente osservato. Essendo questo un numero certo (a meno di non essere ubriachi), ad esso non si applica il concetto di probabilità. Così pure, si faccia attenzione a non chiamare $ f(x\,\vert\,\mu)$ ``probabilità che $ x$ venga da $ \mu$'' (il nome corretto - trascurando il fatto inessenziale che si tratta di una densità di probabilità e non di una probabilità - è ``probabilità di $ x$, dato un certo valore $ \mu$'', che è chiaramente ben altra cosa!).
.
.
.
.
.
.
.
.
.
.
.
.
.
.
.
.
.
.
.
.
.
.
.
.
.
.
.
.
.
.
... dell'osservazione9.4
Si noti l'uso dello stesso simbolo $ f(\cdot)$ per indicare funzioni di diverse variabili, anche se sarebbe formalmente più corretta una scrittura della (9.4) del tipo:

$\displaystyle \varphi(\mu\,\vert\,x) \propto {\cal L}(x\,\vert\,\mu)\cdot \pi(\mu)\,,$

con $ \varphi(\cdot)$, $ {\cal L}(\cdot)$ e $ \pi(\cdot)$ che ricordano dal nome, rispettivamente, la finale, la verosimiglianza (in inglese likelihood) e la prior.
.
.
.
.
.
.
.
.
.
.
.
.
.
.
.
.
.
.
.
.
.
.
.
.
.
.
.
.
.
.
... Poincar\'e9.5
H. Poincaré, ``Scienza e Ipotesi'', molto interessante il capitolo XI sul calcolo delle probabilità.
.
.
.
.
.
.
.
.
.
.
.
.
.
.
.
.
.
.
.
.
.
.
.
.
.
.
.
.
.
.
... dell'esperimento.9.6
Si potrebbe obiettare: ma non è sufficiente riportare semplicemente i dati osservati? Se da questi il calcolo delle verosimiglianze è banale, allora non c'è nessun problema. Ma negli esperimenti complicati la dipendenza dei dati osservabili dall'ipotesi fisica può essere talmente complessa che solamente chi ha fatto l'esperimento è in grado di calcolare le verosimiglianze.
.
.
.
.
.
.
.
.
.
.
.
.
.
.
.
.
.
.
.
.
.
.
.
.
.
.
.
.
.
.
... misura10.1
Le prior non devono mai sparire completamente dalla mente, ma devono servire a vigilare attentamente il flusso dei dati e intervenire al minimo sospetto che qualcosa non vada!
.
.
.
.
.
.
.
.
.
.
.
.
.
.
.
.
.
.
.
.
.
.
.
.
.
.
.
.
.
.
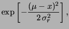
... Bayes10.2
Una prior uniforme e una verosimiglianza gaussiana producono, in virtù della (9.5), il seguente risultato:
$\displaystyle f(\mu\,\vert\,x)$ $\displaystyle \propto$ $\displaystyle f(x\,\vert\,\mu) \propto
\exp{\left[-\frac{(x-\mu)^2}{2\,\sigma^2_r}\right]}$  
  $\displaystyle \propto$ $\displaystyle \exp{\left[-\frac{(\mu-x)^2}{2\,\sigma^2_r}\right]}\,,$  

in cui nell'ultimo passaggio sono stati invertiti $ \mu$ e $ x$, al fine di ricordare che la variabile della nuova funzione è $ \mu$ e non più $ x$ (questo diventa il parametro che dà il centro della distribuzione). Ne segue che il valore vero è distribuito intorno al valore osservato secondo una gaussiana avente la stessa deviazione standard della verosimiglianza:

$\displaystyle f(\mu\,\vert\,x) = \frac{1}
{ \sqrt{2\,\pi} \sigma_r}
\exp{\left[-\frac{(\mu-x)^2}{2\,\sigma^2_r}\right]}\,.$

.
.
.
.
.
.
.
.
.
.
.
.
.
.
.
.
.
.
.
.
.
.
.
.
.
.
.
.
.
.
... tipo10.3
Il fatto che il solo valore della media aritmetica sia in grado di produrre una inferenza statistica della stessa qualità dei singoli valori osservati è legato al concetto statistico di ``sufficienza''.
.
.
.
.
.
.
.
.
.
.
.
.
.
.
.
.
.
.
.
.
.
.
.
.
.
.
.
.
.
.
... media10.4
Si ricorda che, ai fini del calcolo pratico, essa è valutata come:

$\displaystyle \sigma^2_n(\Delta) = \sigma^2_n(x) = \overline{x^2}-\overline{x}^2\,,$

ove $ \sigma^2_n$ sta ad indicare, secondo la convenzione delle calcolatrici tascabili, che la varianza è calcolata come media dei quadrati degli scarti.
.
.
.
.
.
.
.
.
.
.
.
.
.
.
.
.
.
.
.
.
.
.
.
.
.
.
.
.
.
.
... trascurabili10.5
In realtà questo è una condizione non necessaria, legata ad un modo semplicistico di vedere le cose: anche se ci sono incertezze sulle ascisse, queste possono essere riflesse su quelle delle ordinate e la soluzione pratica non cambia.
.
.
.
.
.
.
.
.
.
.
.
.
.
.
.
.
.
.
.
.
.
.
.
.
.
.
.
.
.
.
... successive10.6
Un caso tipico è quello di risultati correlati. In alcuni casi anche la terza o la quarta cifra dell'incertezza può diventare cruciale.
.
.
.
.
.
.
.
.
.
.
.
.
.
.
.
.
.
.
.
.
.
.
.
.
.
.
.
.
.
.
... fisiche10.7
Particle Data Group, Phys. Rev. D50 (1994) 1173.
.
.
.
.
.
.
.
.
.
.
.
.
.
.
.
.
.
.
.
.
.
.
.
.
.
.
.
.
.
.
... finora.10.8
Per chiarire il concetto, $ \widehat{\mu}$ può essere stato ottenuto come media aritmetica, come ad esempio mostrato nella (10.2), ovvero $ \widehat{\mu}=\overline{x_i}=\sum_i x_i/n$. I valori veramente osservati sono gli $ x_i$, mentre $ \overline{x} $ è ottenuto da un'operazione matematica eseguita su di essi. Comunque, si può dimostrare che la conoscenza della sola media fornisce lo stesso grado di conoscenza su $ \mu$ di quello ottenibile dall'insieme dei valori osservati. Questa equivalenza è legata al concetto della cosiddetta sufficienza statistica.
.
.
.
.
.
.
.
.
.
.
.
.
.
.
.
.
.
.
.
.
.
.
.
.
.
.
.
.
.
.
... risultato10.9
Come si vede facilmente, si ottiene un risultato del tutto equivalente a quello cui si sarebbe arrivati partendo dal punto 2 del paragrafo 10.4.
.
.
.
.
.
.
.
.
.
.
.
.
.
.
.
.
.
.
.
.
.
.
.
.
.
.
.
.
.
.
... indirette11.1
Vedremo come entrano in gioco anche più per valutare effetti di errori sistematici di misure dirette.
.
.
.
.
.
.
.
.
.
.
.
.
.
.
.
.
.
.
.
.
.
.
.
.
.
.
.
.
.
.
... riproducibilità.11.2
La Guida ISO definisce reproducibility (of results of measurements) ``closeness of the agreement between the results of measurements of the same measurand carried out under changed conditions of measurement'' (i risultati si intendono già corretti per eventuali errori sistematici noti).
.
.
.
.
.
.
.
.
.
.
.
.
.
.
.
.
.
.
.
.
.
.
.
.
.
.
.
.
.
.
... gaussiana11.3
In realtà non c'è bisogno che la distribuzione sia normale, in quanto faremo uso soltanto delle proprietà generali della varianza. Anche dal punto di vista pratico, è più frequente il caso di una distribuzione uniforme o triangolare.
.
.
.
.
.
.
.
.
.
.
.
.
.
.
.
.
.
.
.
.
.
.
.
.
.
.
.
.
.
.
... accorgimento11.4
Ad esempio un voltmetro può essere calibrato in modo relativo (rispetto al valore di fondo scala) utilizzando un partitore di precisione: ogni deviazione dalla linearità sarà imputato al comportamento del voltmetro e la lettura potrà essere corretta. Per fare un buon partitore economico è sufficiente prendere una ventina di resistori all'1% tutti uguali e presi nuovi dalla stessa striscia con cui sono confezionati. Le variazioni relative di resistenza sono ben inferiori all'1% e la loro combinazione riduce ancora di più le incertezze relative.
.
.
.
.
.
.
.
.
.
.
.
.
.
.
.
.
.
.
.
.
.
.
.
.
.
.
.
.
.
.
... correlazione11.5
Questo approccio molto euristico potrebbe servire anche a chi lo conosce da testi di probabilità.
.
.
.
.
.
.
.
.
.
.
.
.
.
.
.
.
.
.
.
.
.
.
.
.
.
.
.
.
.
.
... (lineare11.6
Questo è un punto importante, ma sul quale purtroppo non possiamo entrare in dettaglio.
.
.
.
.
.
.
.
.
.
.
.
.
.
.
.
.
.
.
.
.
.
.
.
.
.
.
.
.
.
.
... quantity11.7
Per ``grandezza d'ingresso'' la Guida ISO intende tutte le grandezze che contribuiscono alla valutazione del valore della grandezza di interesse (costanti di calibrazione, parametri di influenza, valori tabulati, risultati di esperimenti precedenti, etc.).
.
.
.
.
.
.
.
.
.
.
.
.
.
.
.
.
.
.
.
.
.
.
.
.
.
.
.
.
.
.
... riferimento''11.8
I valori che seguono, la formula (11.35) e la tabella 11.2 sono presi da F. Kohlrausch, ``Praktische Physik'', B.G. Teubner Stuttgart 1986. La sezione 72 sulla densità dell'aria è curata da M. Kochsieck dell'istituto tedesco di metrologia di Braunschweig.
.
.
.
.
.
.
.
.
.
.
.
.
.
.
.
.
.
.
.
.
.
.
.
.
.
.
.
.
.
.
... ottengono11.9
E.R. Cohen and B.N. Taylor, Rev. Mod. Phys. 59 (1987) 1121.
.
.
.
.
.
.
.
.
.
.
.
.
.
.
.
.
.
.
.
.
.
.
.
.
.
.
.
.
.
.
... misurano11.10
Misura realmente effettuata in data 2/5/93. I 420 resistori da cui è stato estratto il campione sono stati successivamente utilizzati per le esercitazioni di laboratorio.
.
.
.
.
.
.
.
.
.
.
.
.
.
.
.
.
.
.
.
.
.
.
.
.
.
.
.
.
.
.
... volumi11.11
Questo problema è tratto dal lavoro di R.B. Lam e T.L. Isenhour, ``Minimizing relative error in the preparation of standard solutions by judicious choice of volumetric glassware'', pubblicato su Anal. Chem 52 (1980) 1158, in cui gli autori hanno studiato i 250000 modi di effettuare diluizioni a 1, 2 o 3 passi utilizzando strumentazione commerciale standard.
.
.
.
.
.
.
.
.
.
.
.
.
.
.
.
.
.
.
.
.
.
.
.
.
.
.
.
.
.
.
... riduce12.1
Se si prova a fare i conti con le regole delle matematica elementare si trovano risultati divergenti. In realtà il limite va fatto integrando la funzione per tutti i valori di $ \mu_{X_i}$ e quindi fare il limite per $ \sigma_{X_i}\rightarrow 0$. Chi è familiare con elementi di matematica avanzata riconosce in tale operazione l'uso della $ \delta$ di Dirac (vedi anche prossimo paragrafo).
.
.
.
.
.
.
.
.
.
.
.
.
.
.
.
.
.
.
.
.
.
.
.
.
.
.
.
.
.
.
... infatti12.2
Si noti che questa espressione è valida per variabili continue. Per variabili discrete equispaziate fra $ x_{min}$ e $ x_{max}$, la formula esatta è

$\displaystyle \frac{x_{max}-x_{min}}{\sqrt{12}}\sqrt{\frac{n+1}{n-1}}\,,$

che tende alla deviazione standard del caso continuo quando $ n$ è molto grande. Comunque, già per $ n=5$ il fattore correttivo è del 20% e per $ n=10$ è del 10%.
.
.
.
.
.
.
.
.
.
.
.
.
.
.
.
.
.
.
.
.
.
.
.
.
.
.
.
.
.
.
... all'incertezza12.3
Ovviamente la valutazione di effetti sistematici rimane invariata se i parametri della retta sono valutati con i minimi quadrati anziché con l'analisi grafica.
.
.
.
.
.
.
.
.
.
.
.
.
.
.
.
.
.
.
.
.
.
.
.
.
.
.
.
.
.
.
... 12.4
Per quanto riguarda il numero di cifre significative, si noti come ne sia stata aggiunta una in più rispetto alle regolette usuali. Esse verranno aggiustate in seguito alla luce di $ \sigma(m)$ e di $ \sigma(c)$. Nel caso in cui l'esperienza non preveda un'analisi completa delle incertezze di misura sarebbe stato sufficiente scrivere $ m=0.223\,$m kg$ ^{-1}$ e $ c=-5.3\,$cm.
.
.
.
.
.
.
.
.
.
.
.
.
.
.
.
.
.
.
.
.
.
.
.
.
.
.
.
.
.
.
... soddisfacente12.5
Le piccole differenze numeriche sono dovute all'uso della formula approssimata per il braccio di leva. Corretto per il fattore

$\displaystyle \sqrt{\frac{n+1}{n-1}} = 1.13$

(legato alla deviazione standard di una distribuzione uniforme discreta), esso diventa 0.180kg, da cui ne segue un risultato praticamente identico a quello ottenuto mediante programma:
$\displaystyle m$ $\displaystyle =$ $\displaystyle 0.2230\pm 0.0014 \,\frac{\mbox{m}}{\mbox{kg}}$  
$\displaystyle c$ $\displaystyle =$ $\displaystyle -53.0 \pm 0.8\,$mm  
$\displaystyle \rho(m,c)$ $\displaystyle =$ $\displaystyle -0.95 \,.$  

.
.
.
.
.
.
.
.
.
.
.
.
.
.
.
.
.
.
.
.
.
.
.
.
.
.
.
.
.
.
... 1.000 kg12.6
Si noti come nella propagazione non si debba tener conto di un'eventuale incertezza sulla massa se essa è simile a quella dei pesetti con i quali sono state effettuate le misure, in quanto questo contributo è già compreso in $ \sigma _r$.
.
.
.
.
.
.
.
.
.
.
.
.
.
.
.
.
.
.
.
.
.
.
.
.
.
.
.
.
.
.
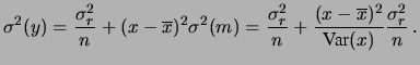
... baricentro.12.7
Come abbiamo già fatto notare, il sistema del baricentro è molto conveniente, in quanto $ \rho $ si annulla. L'espressione di $ \sigma(y)$ è particolarmente semplice e istruttiva:

$\displaystyle \sigma^2(y) = \sigma^2(c^\prime) + {x^\prime}^2\sigma^2(m^\prime)\,.$

Si riconosce la combinazione in quadratura dell'incertezza dovuta all'intercetta con quella del coefficiente angolare ``proiettata'' ad una distanza $ \vert x^\prime\vert$ dal baricentro.

Siccome $ \sigma(y)$ deve essere invariante per traslazioni, antitrasformando da $ x^\prime$ a $ x$, otteniamo la formula

$\displaystyle \sigma^2(y) = \frac{\sigma^2_r}{n} +
(x-\overline{x})^2\sigma^2(...
...gma^2_r}{n} + \frac{(x-\overline{x})^2}
{\mbox{Var}(x)}
\frac{\sigma^2_r}{n}\,.$

Si vede quindi come la previsione sull'ordinata abbia una precisione che è massima in corrispondenza del baricentro dei punti e si deteriora quando ci si allontana dalla regione in cui sono state effettuate le misure.
.
.
.
.
.
.
.
.
.
.
.
.
.
.
.
.
.
.
.
.
.
.
.
.
.
.
.
.
.
.
... differenze12.8
Naturalmente, per ottenere la massima accuratezza sulla precisione dei parametri sarebbe stato meglio misurare individualmente ciascuno dei pesetti, al fine di ridurre $ \sigma _r$, ma a questo livello non ne vale la pena.
.
.
.
.
.
.
.
.
.
.
.
.
.
.
.
.
.
.
.
.
.
.
.
.
.
.
.
.
.
.
... nell'inter\-vallo12.9
I due estremi sono 57 e 243 se si usa il valore di $ \sigma_{\Delta} = 47.4$. La differenza fra i risultati, che va confrontata con l'ampiezza dell'intervallo, è assolutamente trascurabile.
.
.
.
.
.
.
.
.
.
.
.
.
.
.
.
.
.
.
.
.
.
.
.
.
.
.
.
.
.
.
... mancante12.10
Il test di ipotesi di compatibilità fra i due risultati effettuato mediante il controllo se lo zero è compreso nell'intervallo di fiducia di $ \Delta$ è indipendente dal segno di $ \Delta$.
.
.
.
.
.
.
.
.
.
.
.
.
.
.
.
.
.
.
.
.
.
.
.
.
.
.
.
.
.
.
... teorica12.11
Da notare come nella (12.24) delle dispense al denominatore ci sia per ogni $ i$ una sua $ \sigma_i$. Esso rappresenta il caso più generale in cui ciascuna delle $ x_i$ fluttua dal valore vero con una propria $ \sigma_i$ di cui la deviazione standard empirica è la migliore stima. Nelle misure di conteggio, con ipotesi che il valore medio sia comune, la migliore stima di $ \lambda $ determina anche la migliore stima di $ \sigma $.
.
.
.
.
.
.
.
.
.
.
.
.
.
.
.
.
.
.
.
.
.
.
.
.
.
.
.
.
.
.
... relative12.12
rispetto alla soluzione precedente $ f_1$ corrisponde al parametro $ p$ della binomiale e $ f_2$ a $ q$
.
.
.
.
.
.
.
.
.
.
.
.
.
.
.
.
.
.
.
.
.
.
.
.
.
.
.
.
.
.
... risultati12.13
Per l'esattezza, il valore di $ \alpha^{-1}$ riportato da Cohen e Taylor è leggermente diverso: 137.0359895(61). Ci sono evidentemente piccoli problemi di arrotondamento. Se si esegue il conto con un calcolatorino scientifico a 10 cifre il risultato è 137.0359908 (61)!
.
.
.
.
.
.
.
.
.
.
.
.
.
.
.
.
.
.
.
.
.
.
.
.
.
.
.
.
.
.
... uniforme12.14
Ricordiamo che in mancanza di accertamenti questa è la distribuzione da utilizzare [ vedi nota a pag. 136 ].
.
.
.
.
.
.
.
.
.
.
.
.
.
.
.
.
.
.
.
.
.
.
.
.
.
.
.
.
.
.
... simulazioneA.1
Non ci sarebbe alcun bisogno di simulare il processo al computer, dato che la soluzione può essere ottenuta analiticamente mediante il calcolo delle probabilità, ma l'esperienza mi insegna che le simulazioni possono essere più convincenti per alcune persone.
.
.
.
.
.
.
.
.
.
.
.
.
.
.
.
.
.
.
.
.
.
.
.
.
.
.
.
.
.
.
... altriA.2
Ci si potrebbe chiedere: come mai questo processo non porta ad un collasso? Semplicemente perché nei laboratori non si seguono queste regole e, invece di nascondere la testa nella sabbia degli errori massimi, si cerca di ricalibrare in continuazione strumenti e procedure. Questo è quanto dovrebbe imparare subito anche lo studente
.
.
.
.
.
.
.
.
.
.
.
.
.
.
.
.
.
.
.
.
.
.
.
.
.
.
.
.
.
.
... puerileA.3
Questo aspetto psicologico non riguarda soltanto gli studenti. Non è raro vedere anche nella ricerca avanzata risultati in sorprendente accordo fra di loro o con predizioni teoriche nonostante le loro enormi barre di incertezza, o fisici sperimentali preoccupati se i loro valori differiscono di un paio di deviazioni standard da una ``solida predizione'' o da un risultato precedente.
.
.
.
.
.
.
.
.
.
.
.
.
.
.
.
.
.
.
.
.
.
.
.
.
.
.
.
.
.
.
... letturaA.4
A volte lo si sente chiamare anche errore di sensibilità, o addirittura semplicemente ``sensibilità'' (in una nota per studenti si legge testualmente: ``l'indeterminazione su tali grandezze può essere presa pari alla sensibilità del termometro impiegato, ovvero mezza tacca''). In questo caso ``sensibilità'' starebbe per ``risoluzione'' (vedi capitolo 8). È raccomandabile utilizzare il termine ``sensibilità'' per indicare ... la sensibilità, ovvero, detto alla buona, ``il rapporto fra la variazione della risposta e la variazione dello stimolo''.
.
.
.
.
.
.
.
.
.
.
.
.
.
.
.
.
.
.
.
.
.
.
.
.
.
.
.
.
.
.
... divisioni.''A.5
Essere praticamente sicuri che il valore sia entro il 1/5 di divisione, vuol dire che, se ci si sforza al interpolare al meglio, ci si aspetta una deviazione standard dell'errore di lettura di circa $ 0.2/\sqrt{12}$ divisioni, compatibile al valore di $ \approx 0.7$ che si osserva sperimentalmente.
.
.
.
.
.
.
.
.
.
.
.
.
.
.
.
.
.
.
.
.
.
.
.
.
.
.
.
.
.
.
... taccheA.6
Perché non cambiare strumento? Domanda legittimissima. Il problema è che questo non è sempre possibile. Quindi è importante, all'occorrenza, imparare a sfruttare tutta la potenzialità degli strumenti a disposizione. Queste dovrebbero essere le regole del gioco sulle quale sviluppare un corso di teoria e pratica di valutazione delle incertezze di misure.
.
.
.
.
.
.
.
.
.
.
.
.
.
.
.
.
.
.
.
.
.
.
.
.
.
.
.
.
.
.
... secondoA.7
Si noti inoltre che, quando si misura una grandezza fisica ($ X$) in funzione del tempo ($ t$), non ha molto senso parlare di errori su $ t$ e su $ X$, in quanto ogni differenza dell'istante di lettura dal tempo nominale si rifletterà in un errore sulla grandezza fisica. Quindi, ai fini del risultato finale, è più che ragionevole attribuire tutto l'errore a $ X$ e considerare $ t$ esente da errore (si veda anche il paragrafo 10.5.2).
.
.
.
.
.
.
.
.
.
.
.
.
.
.
.
.
.
.
.
.
.
.
.
.
.
.
.
.
.
.
... QuinnA.8
T.J. Quinn, ``The beam balance as an instrument for very precise weighing'', Meas. Sci. Technol., 3(1992), 141.
.
.
.
.
.
.
.
.
.
.
.
.
.
.
.
.
.
.
.
.
.
.
.
.
.
.
.
.
.
.