next up previous contents
Next: Caso di ignota Up: Misure dirette con verosimiglianza Previous: Singola osservazione con nota   Indice


$ n$ osservazioni indipendenti con $ \sigma _r$ nota

Cominciamo con due osservazioni, ad esempio $ x_1$ e $ x_2$. Innanzitutto è chiaro che, alla luce di ciascuna delle due osservazioni si avrebbe:
$\displaystyle \left.\mu\right\vert _{x_1}$ $\displaystyle =$ $\displaystyle x_1 \pm \sigma_r$  
$\displaystyle \left.\mu\right\vert _{x_2}$ $\displaystyle =$ $\displaystyle x_2 \pm \sigma_r \,,$  

ove $ \left.\mu\right\vert _{x_i}$ sta ad indicare ``$ \mu$ subordinato all'osservazione di $ x_i$'' (si è preferito scrivere così , anziché $ \mu_1$ e $ \mu_2$, per ricordare che stiamo parlando della stessa grandezza fisica). Cosa possiamo dire ora su $ \mu$ alla luce di $ x_1$ e $ x_2$?

$\displaystyle \left.\mu\right\vert _{x_1\cap x_2} = {\bf ?}$

Dal punto di vista generale si possono percorrere tre strade diverse.
  1. Si può considerare il risultato $ f(\mu\,\vert\,x_1)$ come prior antecedente l'osservazione di $ x_2$ e inserirla nella formula dell'inferenza bayesiana. In modo simmetrico si può rovesciare l'ordine di osservazione: prima $ x_2$ e poi $ x_1$. Se la procedura è corretta le conclusioni finali non devono dipendere dall'ordine.
  2. In alternativa, si può considerare la verosimiglianza di osservare, dato un valore di $ \mu$, la coppia $ \{x_1, x_2\}$ e applicare il teorema di Bayes all'inversione:

    $\displaystyle f(x_1,x_2\,\vert\,\mu) \rightarrow f(\mu\,\vert\, x_1,x_2)\,.$

  3. C'è infine un terzo modo di procedere, euristico, in quanto assume che la soluzione di prova sia quella buona e fornisce soltanto il valore dell'incertezza. Per semplicità illustriamo questo (per gli altri c'è poco da spiegare, si tratta solo di fare i conti...).

    Assumiamo, ragionevolmente, che il valore centrale intorno al quale è distribuito $ \left.\mu\right\vert{x_1\cap x_2}$ sia la media aritmetica:

    $\displaystyle \overline{x} = \frac{x_1+x_2}{2}\,.$

    Subordinatamente ad un certo valore di $ \mu$ anche la media aritmetica $ \overline{x} $ è una variabile casuale, in quanto è funzione di variabili casuali. Anch'essa, per simmetria, ha una distribuzione di probabilità intorno a $ \mu$. In questo caso il processo di inferenza è del tipo10.3

    $\displaystyle f(\overline{x}\,\vert\,\mu)\rightarrow f(\mu\,\vert\,\overline{x})\,.$

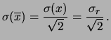
    La differenza rispetto al caso precedente è nella diversa deviazione standard di $ \overline{x} $ intorno a $ \mu$. Anche se per arrivare all'esatto fattore di riduzione si rimanda ad un testo di calcolo delle probabilità (vedi anche Appendice), il risultato può essere giusticato dicendo che, essendo $ x_1$ e $ x_2$ indipendenti, le fluttuazioni della media tendono a compensarsi. Quantitativamente si ottiene che

    $\displaystyle \sigma(\overline{x}) =
\frac{\sigma(x)}{\sqrt{2}} = \frac{\sigma_r}{\sqrt{2}}\,.$

    Quindi, utilizzando ancora una volta il ragionamento di inversione di probabilità intuitivo, possiamo dire che

    $\displaystyle \sigma(\mu)=\sigma(\overline{x})= \frac{\sigma_r}{\sqrt{2}}\,.$

In effetti si può dimostrare che tutte e tre le strade conducono al medesimo risultato. Nel caso generale di $ n$ osservazioni indipendenti, si ha:

$\displaystyle \sigma(\mu) = \frac{\sigma_r}{\sqrt{n}}\,,$

da cui:

$\displaystyle \mu = \overline{x} \pm \frac{\sigma_r}{\sqrt{n}}\,.$ (10.2)

Quindi, la soluzione giusta al quesito 6 del paragrafo A.1 è quella con `` $ 1/\sqrt{n}$''. Ciò nonostante, è ragionevole preoccuparsi di un'incertezza che tende a zero all'aumentare di $ n$. Questo induce molti a diffidare di questa formula e ignorare il $ \sqrt{n}$. Ciò è dovuto alla mancanza di una visione globale del problema. La formula (10.2) è assolutamente corretta, ma non tiene conto di altre possibili cause di incertezza. Queste vanno identificate e il loro contributo va combinato insieme a $ \sigma/\sqrt{n}$ in maniera appropriata (vedi paragrafo11.2).


next up previous contents
Next: Caso di ignota Up: Misure dirette con verosimiglianza Previous: Singola osservazione con nota   Indice
Giulio D'Agostini 2001-04-02