Next: Come tener conto degli
Up: Propagazione delle incertezze
Previous: Linearizzazione
  Indice
Incertezze relative
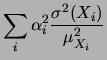
Riprendiamo la (11.4) estesa al caso generale,
ovvero nel caso di
 |
(11.7) |
Un caso particolarmente interessante si presenta quando
la dipendenza di
da
è data da una funzione monomia, ovvero
Molte leggi fisiche sono infatti di questo tipo (
,
, etc). La derivata di
rispetto alla generica
si ottiene diminuendo di 1 il grado della potenza
di
e moltiplicando per
. Questo è equivalente
a moltiplicare la
stessa per
e poi dividere tutto per
. Si ha quindi:
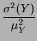
dove dalla formula (11.8) abbiamo sostituito,
come sopra, ``
'' con
e abbiamo introdotto
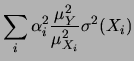
ad indicare l'incertezza relativa. Quindi, nel caso di funzioni
monomie il contributo all'incertezza relativa
dato da ciascuna variabile di ingresso è pari
alla sua incertezza relativa moltiplicata per il modulo della potenza.
I vari contributi si combinano poi quadraticamente. Si noti come
l'incertezza relativa su
può essere anche inferiore
a quella su
se
(ad esempio
).
Si noti inoltre come la 11.10 è valida anche
per le incertezze relative espresse in valori percentuali.
Il vantaggio pratico di utilizzare, ogni volta che è possibile,
la propagazione delle incertezze relative è legato
al fatto che, siccome
quello che veramente importa ai fini della qualità della misura
è l'incertezza relativa, essa permette di capire quali sono
le grandezze più critiche, sulle eventualmente quali intervenire.
Questo è particolarmente vero se si usa la formula
11.10 scrivendo esplicitamente tutti gli ``addendi'',
invece di fare automaticamente. Ad esempio se si ha
con incertezze relative delle grandezze di ingresso, espresse in %,
pari a
,
,
e
, è opportuno scrivere
(***controllare***)
da cui si capisce subito che per migliorare il risultato bisogna
misurare meglio
, anche se era già la grandezza
conosciuta più precisamente. A poco serve, invece,
misurare meglio
, sebbene sia nota soltanto al 5%.
Next: Come tener conto degli
Up: Propagazione delle incertezze
Previous: Linearizzazione
  Indice
Giulio D'Agostini
2001-04-02