next up previous contents
Next: Contatore e processo di Up: Pallinometro e distribuzione binomiale Previous: Pallinometro ``minimale'': calcolo della   Indice

Pallinometro a molte file di chiodi

Il modo più intuitivo per generalizzare il problema ad un numero arbitrario $ N$ di file di chiodi è quello di iterare il caso precedente. Il caso $ N=3$ si ottiene immaginando di disporre un chiodo al centro delle cellette della configurazione con $ N=2$. Si ottengono ora 4 cellette di arrivo e un numero totale di traiettorie di 8, in quanto le nuove diramazioni raddoppiano il numero di traiettorie possibili. Calcoliamo ora il numero di traiettorie che terminano in ciascuna nuova celletta (indicata con $ bin_i^\prime$, con $ i=0,1,2,3$):
$\displaystyle \char93 \, bin0^\prime$ $\displaystyle =$ $\displaystyle 1$  
$\displaystyle \char93 \,bin1^\prime$ $\displaystyle =$ $\displaystyle \char93 \,bin0 + \char93 \,bin1 = 3$  
$\displaystyle \char93 \,bin2^\prime$ $\displaystyle =$ $\displaystyle \char93 \,bin1 + \char93 \,bin2 = 3$  
$\displaystyle \char93 \, bin3^\prime$ $\displaystyle =$ $\displaystyle 1\,,$  

da cui seguono le probabilità
$\displaystyle P(bin0^\prime)$ $\displaystyle =$ $\displaystyle \frac{1}{8}$  
$\displaystyle P(bin1^\prime)$ $\displaystyle =$ $\displaystyle \frac{3}{8}$  
$\displaystyle P(bin2^\prime)$ $\displaystyle =$ $\displaystyle \frac{3}{8}$  
$\displaystyle P(bin3^\prime)$ $\displaystyle =$ $\displaystyle \frac{1}{8}$  

Si riconosce in questa regola di iterazione la regola per ottenere i coefficienti binomiali, ovvero il famoso triangolo detto di Tartaglia o di Pascal che riportiamo in tabella 7.2.

Tabella: Rappresentazione a triangolo dei coefficienti binomiali.
                                                           
$ n$ Coefficienti binomiali   $ \sum_{i=0}^n \left(\!\begin{array}{c} n\\  i \end{array}\!\right)$                          
                                                           
                                                           
0                            1                            1
1                         1     1                         2
2                      1     2     1                      4
3                   1     3     3     1                   8
4                1     4     6     4     1                16
5             1     5     10     10     5     1             32
6          1     6     15     20     15     6     1          64
7       1     7     21     35     35     21     7     1       128
8    1     8     28     56     70     56     28     8     1    256
                                                           


Facendo uso esplicito dei coefficienti binomiali abbiamo quindi la formula generale della celletta $ i$-ma nel caso di $ N$ file di chiodi:
$\displaystyle P(i)$ $\displaystyle =$ $\displaystyle \frac{
\binom{N}{i}
}{2^N} =
\binom{N}{i}
\frac{1}{2^N}\,.$ (7.1)

Si può ottenere lo stesso risultato facendo uso del processo di Bernoulli associato all'esito dopo ogni rimbalzo della pallina sul chiodo. Definendo successo ``la pallina va verso destra'' e insuccesso l'evento complementare, è immediato verificare che la celletta $ i$-ma si ottiene se si sono verificati $ i$ successi indipendentemente dall'ordine. Abbiamo quindi una distribuzione binomiale con $ p=1/2$ (successo e insuccesso sono da ritenersi equiprobabili):
$\displaystyle P(i) = f(i\,\vert\,{\cal B}_{N,\frac{1}{2}})$ $\displaystyle =$ $\displaystyle \binom{N}{i}
\left(\frac{1}{2}\right)^i\left(\frac{1}{2}\right)^{N-i}$  
  $\displaystyle =$ $\displaystyle \binom{N}{i}
\frac{1}{2^N}\,,$  

riottenendo la formula precedente, che riscriviamo, esplicitando il coefficiente binomiale e riferendosi alla celletta, come
$\displaystyle P(bin_i)$ $\displaystyle =$ $\displaystyle \frac{N}{i!\,(N-i)!}\frac{1}{2^N}\,.$ (7.2)

A questo punto è importante distinguere chiaramente i due problemi seguenti.

  1. Siamo interessati alla posizione di arrivo della generica pallina: la variabile casuale di interesse, indicata con il generico simbolo $ X$, è ``il numero d'ordine della celletta nella quale termina la pallina'' e corrisponde esattamente alla variabile $ i$ di cui ci siamo appena occupati:
    $\displaystyle X$ $\displaystyle \sim$ $\displaystyle {\cal B}_{N, \frac{1}{2}}$ (7.3)
    E$\displaystyle (X)$ $\displaystyle =$ $\displaystyle \frac{N}{2}$ (7.4)
    $\displaystyle \sigma(X)$ $\displaystyle =$ $\displaystyle \frac{\sqrt{N}}{2}\,.$ (7.5)

  2. Si lanciano $ n$ palline e ci si interessa al numero di palline che terminano in ciascuna celletta: la variabile casuale di interesse, indicata con il generico simbolo $ X_i$ (con $ i$ indice di celletta), è descritta da una binomiale avente parametri $ n$ e $ p=P(bin_i)$:
    $\displaystyle X_i$ $\displaystyle \sim$ $\displaystyle {\cal B}_{n, P(bin_i)}$ (7.6)
    E$\displaystyle (X_i)$ $\displaystyle =$ $\displaystyle n\,P(bin_i)$ (7.7)
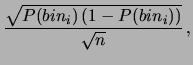
    $\displaystyle \sigma(X_i)$ $\displaystyle =$ $\displaystyle \sqrt{n\,P(bin_i)\,(1-P(bin_i))}.$ (7.8)

Infine ci si può interessare alla frazione $ f_{n_i}$ di palline che andrà in ciascuna celletta, la cui probabilità è ottenibile direttemente da quella del numero di palline in quanto $ f_{n_i}=X_i/n$. Ricordiamo soltanto che valore atteso e previsione valgono
E$\displaystyle (f_{n_i})$ $\displaystyle =$ $\displaystyle P(bin_i)$ (7.9)
$\displaystyle \sigma(f_{n_i})$ $\displaystyle =$ $\displaystyle \frac{\sqrt{P(bin_i)\,(1-P(bin_i))}}{\sqrt{n}}\,,$ (7.10)

ovvero la distribuzione delle frequenze relative ``tende'' (in probabilità e non come limite di funzione!) alla probabilità quando il numero di lanci è molto grande (teorema di Bernoulli). Più precisamente, il teorema afferma che, se si considerano un grande numero $ n$ di tentativi, indipendenti e a ciascuno dei quali attribuiamo probabilità $ p$, riteniamo molto poco probabile ottenere valori di $ f_n$ che differiscono molto da $ p$.


next up previous contents
Next: Contatore e processo di Up: Pallinometro e distribuzione binomiale Previous: Pallinometro ``minimale'': calcolo della   Indice
Giulio D'Agostini 2001-04-02