Fisica per Scienze Naturali (2017/2018)
(G. D'Agostini)


 

Raccolta delle 'copertine'


Uso telemetrico di una macchina fotografica (problemi 31.6 e 31.7)
 
Altre informazioni (non usate nei problemi): f/6.4, 1/20 s, ISO 1600.
Dimensioni dei sensori delle fotocamere digitali.(*)  
 

 
 
 
(*) I valori possono differire leggermente fra vari modelli. Cercare le specifiche della fotocamera di interesse.
Angolo di campo di una 'full frame' (lungo la diagonale!)
 
(vedi anche Wiki, in particolare gli esempi)
Moto del pendolo: vettori velocita' (blu) e accelerazione (rosso) in funzione del tempo           Moto del pendolo: forza di gravita' (marrone), del filo (verde) e totale (rosso) in funzione del tempo           Moto del pendolo: componenti tangenziale e normale della forza di gravita'
Cosa rappresentano le varie frecce? ]


 
[Per capire la funzione dello strano oggetto ('soffietto') fra obiettivo e fotocamera si risolvano i problemi 30.5.d e 30.5.e del quaderno individuale. (E si capirà anche l'ambientazione della macchina fotografica nella natura.)]
Lenti concave e convesse

 

 
Da notare come, oltre ai fenomeni di rifrazione su cui si basa il modello elementare di lente, ci siano riflessioni e rifrazioni di raggi riflessi.
(Se gli obiettivi per fare buone foto non sono tanto economici un motivo ci sarà...)

 
[27/3/2015 18:09; ISO 125, f/4, 1/160 s, “36mm”]
Da notare:
  • Link sul tema
         

    Simulando si impara...

    Algodoo (*)

    (*) Da ritenersi facoltativo, ma raccomandato da chi ha tempo e voglia di imparare, indipendentemente dal corso.
    Specchio concavo (foto 28 maggio 2018)
    oggetto oltre il fuoco oggetto fra specchio e fuoco

    Schiacciamento del sole al tramonto
     
    (Foto 16 maggio 2018)
    Effetto della rifrazione sul sorgere e tramonto del sole
     
     
    Il sito contiene anche una interessante figura della deviazione della luce in funzione dell'angolo rispetto allo zenit.
    Rifrazione astronomica

    Altezza vera e altezza apparente...
     
    ...per misura alla buona dell'indice di rifrazione (→ quaderno individuale)
    (Nota: il livello interno che si vede nella foto non c'entra niente con la misura.
    È solo la base della figura 3D `incisa' all'interno)
    Accendino solare
    (Specchio ustorio portatile)
    Valutazioni del cervello delle distanze ... e illusioni prospettiche
     
     
    (Ma, francamente, l'effetto prospettico di 'ingigantire' la statua purtroppo è rovinato dalle aiuole, le quali ridefiniscono le dimensioni e quindi riportano le dimensioni della statua a quelle reali -- dubito che Borromini avrebbe approvato)
    Miraggio superiore
    Vedi anche
    Schematizzazione di rifrazione più riflessione totale in un miraggio 'inferiore'
     
     
    (Densità dell'aria e quindi indice di rifrazione scendono andando verso il basso)
    Classico esempio di rifrazione



    (Immagine da questo sito)
    Note sulla formula della massa (vari refusi): Inoltre
    Dragsters

      ...ovvero come sopportare grandi accelerazioni
    (e grandi momenti di forze) senza impennare.
    Rolling racers
     

      Energia potenziale → energia cinetica → di traslazione e di rotazione
    → l'oggetto rotolante con maggior momento di inerzia acquista la minore energia cinetica traslazionale
    (la `competizione' sarabbe stata vinta da un punto materiale che scivola senza attrito!)
     
    Versione casereccia ottenuta 'hackerando' un hand spinner
    Legge di Torricelli (consequenza dell'equazione di Bernoulli)
     
     
    (Attenzione: la linea tratteggiata non indica l'andamento della velocità con la profondità)
    Fluidi in movimento e equazione di Bernoulli

    [Da Franco Dupré, Lezioni di Fisica, Vol. 2, vedi argomenti]

    Effetto venturi in azione
    (Da wikipedia)
    Il satellite di Giove Io e la prima evidenza della velocità finita dela luce
     

    Raccolta di 'copertine'

    Pressione nei fluidi in moto

    Pressione nei fluidi in quiete

    Prima osservazione del vuoto

    Emisferi di Magdeburgo
    [Video]

    Tramonto dopo la pioggia (10/5/2018, 20:09)
     
     
    Provare a misurare il rapporto fra diametro del sole verticalmente e orizzontalmente: perché il sole risulta schiacciato? (Ci ritorneremo)
    (Altra foto scattata poco dopo. A che distanza è, circa, il gabbiano? E il palazzo?)
    Candela, lumen(*) e lux

    [Figura da prendere cum grano salis perché potrebbe confondere più di quanto chiarisca]
     
    [(*) In realtà il lumen non indica la quantità di luce ('amount of light'), bensì il flusso luminoso: la 'quantità di luce' è data invece dai lumen×secondo ('lm×s'), talvolta chiamato talbot (per chi fosse interessato e capisce il tedesco, la voce tedesca Lumensekunde sembra più accurata)]

    Simpatiche analogie fra flusso luminoso e flusso di acqua
     
        

    Pressione nei fluidi
    Vasi comunicanti

    Potenza dei ciclisti (!!)


     
    Da Wikipedia: si notino i rapporti di moltiplicazione e gli spostamenti degli estremi ]

    Diga di Castel Giubileo


    Andamento nel tempo della quota della stazione cinese Tiangong
     
     
    Quanta energia serviva per 'risollevarla' da 350 km a 400 km? (m = 8.5 tonnellate)


    [Curve di energia potenziale a seconda dei segni delle cariche]


    Mulinello di Joule

    [Altre risorse in rete]
     
    Come si muove il centro di massa del gatto durante la caduta? (Trascurando la resistenza dell'aria)
     
    [Ma la 'fisica del gatto' di cui parla il video è un po' più complicata. Al momento ci accontentiamo del moto del centro di massa.]

    Energia potenziale gravitazionale

    (Distanza dal centro della Terra in unità del raggio terrestre)

    Azione e reazione... in azione

    La sonda è spinta avanti dal gas espulso dietro:

     
     
      Il vapore espulso fa girare il recipiente:
     
     
      ... e la pista spinge l'atleta in avanti(*)
     
    (*) ma non lo dite a chi non conosce il terzo principio, se no vi prendono per matti...

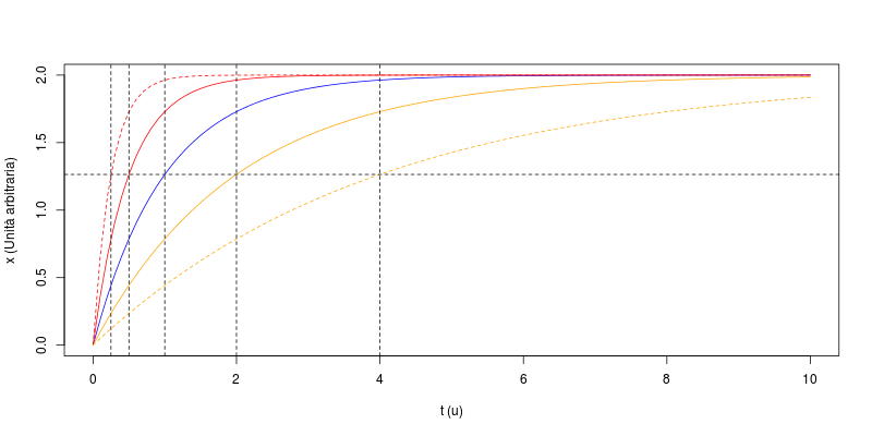
    [ Salita esponenziale a valore limite (x0=0, xF=2;  τ=1/4, 1/2, 1, 2 e 4 u) ]
     

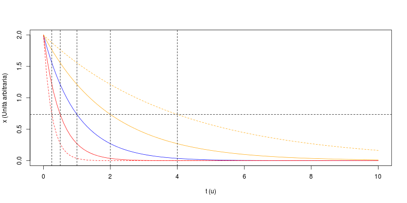
    [ Discesa esponenziale a valore limite (x0=2, xF=0;  τ=1/4, 1/2, 1, 2 e 4 u) ]
     

    La linea orizzontale tratteggiata indica quando il modulo della differenza fra il valore di x istantaneo e quello asintorico si riduce di 1/e rispetto a quello iniziale. Come si vede dal grafico, questa condizione si verifica quando t = τ.



    Ricorda qualcosa? (anche numericamente)
    → vedi quaderno individuale, lezione 15 (17 aprile)
    Spettro di 'corpo nero' a varie temperature (legge di Planck) (immagine presa da qui)
     
    Si noti come λmax si sposti `verso sinistra' all'aumentare della temperature (legge di Wien).
    Corrispondenza fra lunghezza d'onda e colori.

    Spettro della luce solare (immagine presa da qui)
    Nota: in questa figura sull'ascissa è riportata la lunghezza d'onda
    e quindi si va dall'ultravioletto (a sinistra) all'infrarosso (a destra),
    opposto del riquadro sottostante, nel quale la radiazione eletttromagnetica
    è riportata per frequenze (e quindi energie) crescenti.
    Spettro elettromagnetico
    ---------------------------------------------------------------------- --->

    Storia dell'efficienza luminosa

    [ Storia dell'efficienza luminosa (Y. Narukawa et al.), ove 'lm' sta per lumen ]
     
    Per confronto,
    Oggetto sospeso a molla, allontanato dal punto di equilbrio
    (la tensione dell'elastico ci dà un'idea della forza applicata, e quindi della forza di richiamo della molla).
     
       

    Moto circolare uniforme e oscillazione delle coordinate del punto rotante
    Rivedere l'animazione come il moto sincrono di Inoltre, l'oscillazione del puntino rosso può essere associata a quella (a rallentatore) della massa sospesa all'estremità di una molla.
    Accelerazione di gravità a partire dal centro della Terra e parametri di orbite circolari
    (distanza in unità di raggi terrestri)




    [La linea tratteggiata verde indica il raggio dell'orbita geostazionria]
    Da quanti chilometri da San Pietro è stata effettuata, approssimativamente, questa foto?(*)
    (*) da flickr  


     
     
     
    [ Ma può essere più utile memorizzare i reciproci degli angoli espressi in radianti! ]
    [ E, comunque, le dimensioni angolari variano da persona a persona ]

    Andamento nel tempo della quota della stazione cinese Tiangong
    Quanta energia serviva per 'risollevarla' alla quota corretta?
    (Fra qualche settimana sapremo rispondere alla domanda)  


     

    [Ombra della Terra sulla Luna:
    provare a emulare Aristarco di Samo]

     
    Consequenze sull'innanzamento di livello dovute allo scioglimento di ghiaccio galleggiante?
      (Problema 7.2 del quaderno indviduale)
            
    Realizzazione di Alice R. (26/3/2018)

    Stazione Spaziale Internazionale (ISS):

    STASERA! (meteo permettendo(*))  
    (*) Martedì 27 si vedrà ugualmente bene,
    con ottime previsioni meteo
    (dovrebbe passare intorno alle 19:47 vicino alla Luna)

    [ Colpo d'occhio su alcuni parametri orbitali (da Wikipedia) − Nota: le orbite reali non sono coplanari!(*) ]
     
    (*) Solo i satelliti geostazionari hanno l'orbita sul piano equatoriale,
    come mostrato invece nella figura al fine di confrontare i vari parametri.
    Le dimensioni della Terra (palesemente vista dal Polo Nord) e delle varie orbite sono in scala(!).
    Le quattro scale mostrano i parametri orbitali in funzione della distanza dalla Terra ('Mm' sta per 1000km).


    [ Rotazione della Terra e di un satellite geostazionario (da Wikipedia − vedi anche qui) ]


    [ Roma, 25 Marzo 2018 23:11 ]
    Densità della Luna:

    Arcano del livello dell'acqua con l'incudine a bordo o sul fondo
    (problema 5.9 del quaderno individuale).

     
    Realizzazione di Alice C. T. (20/3/2018)
    Proiettili lanciati nello stesso istante con stessa velocità in modulo ma diversa angolazione. La traiettoria indicata in rosso corrisponde a 45 gradi.
     

  • Esperimento concettuale di Newton ('cannone di Newton') per spiegare perché le mele cascano e la luna gira:



    Venere, Mercurio e Luna cinerea (più un aereo), 19/3/2018, 19:01
    [Posizioni rispetto al Sole (dimensioni degli 'oggetti' non in scala!)]
     
    [Altra foto di Luna cinerea, fra le nuvole (zoom)]
    [ stessa vy0;   diverse vx0 ] [ stessa vx0;   diverse vy0 ]

     


    [Lanci orizzontali per diverse velocità iniziali (a rallentatore!)]
     
     

                Q    +

               
     
    [Archimede & Newton (3th Principle) at work]


               
     
    [Posizione dei pianeti venerdì 9 marzo (immagine a destra non in scala!) da screenshot di app android]

    Seguire la Luna nei prossimi giorni:

    [ 9 marzo, ore 7:30 ]