Next: Sintesi di una distribuzione
Up: Variabili casuali e distribuzioni
Previous: Combinazione di molti processi
  Indice
Trattiamo prima la distribuzione geometrica, con un esempio che mette
in luce alcuni aspetti intuitivi e altri aspetti controintuitivi
legati alle distribuzioni di probabilità.
- Esempio
- Un ubriaco deve aprire la porta di casa al buio e
ha un mazzo di 8 chiavi ``indistinguibili''
(o che sembrano tali a lui).
Ammettiamo che, nel caso che egli non ci riesca in un tentativo,
la concitazione
e lo stato di annebbiamento gli impediscano di ricordare
con quale chiave abbia provato e quindi si ritrovi nelle stesse condizioni
nel tentativo successivo.
Cerchiamo di rispondere
a queste domande:
- -
- quanti tentativi si prevede che gli serviranno affinché riesca ad aprire
la porta?
- -
- se si dovesse fare una scommessa alla pari per vincere (``non coerente'')
su quale tentativo bisognerebbe puntare?
- Esempi analoghi
- Altri esempi schematizzabili nello stesso modo
sono: la prima volta che viene testa nel lancio di una moneta (
);
la prima volta che esce il 5 lanciando un dado (
) e la prima volta che
esce un numero su una certa ruota
del lotto (
).
È importante a confrontare fra loro i problemi
appena proposti prima di provare a rispondere intuitivamente
alle domande formulate a proposito
del problema dell'ubriaco. Le risposte intuitive
possono essere del tipo:
- ``passando, in ordine, dal problema della moneta
per terminare a quello del lotto,
bisogna considerare più tentativi prima di
sperare ragionevolmente in un successo'';
- ``scommetterei intorno al 2
tentativo per la moneta, intorno
all'
per l'ubriaco e intorno
al
per il numero al lotto''.
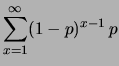
Ricaviamoci la funzione di probabilità e confrontiamola con le risposte
intuitive:
Questa distribuzione è chiamata geometrica in quanto
la funzione di probabilità è caratterizzata da tale progressione.
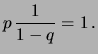
Verifichiamo, come esercizio,
che la funzione di probabilità soddisfa alla condizione di
normalizzazione. Infatti:
La funzione cumulativa
può essere ottenuta direttamente dalla
definizione:
Essa vale 0 per
,
mentre per i reali
ha il valore che assume in corrispondenza
del numero intero
immediatamente inferiore. Si vede che, come deve essere,
per
,
tende a 1.
La figura 6.6 mostra la distribuzione
geometrica per
e
.
Figura:
Distribuzione geometrica per
uguale a 1/2 e a 1/8.
 |
Per molti potrà essere una sorpresa scoprire che il massimo
di probabilità è in corrispondenza di
,
indipendentemente da
.
Quindi la seconda domanda posta riguardo al problema dell'ubriaco
è in un certo senso controintuitiva.
Questo è dovuto ad una confusione fra ``il valore che ci aspettiamo''
e ``il valore più probabile''.
In effetti, anche se si accetta il fatto che la prova alla quale si
crede di più che si verifichi il successo sia la prima,
e che, per avere l'assoluta certezza, bisogna considerare un infinito
numero di prove,
permane ancora l'idea che il successo è atteso prima
nel caso di
lancio di una moneta che in quello di singolo estratto al lotto.
E in effetti questa
volta l'intuizione è corretta, a parte quantificare meglio
cosa si intende per previsione di un numero aleatorio.
Next: Sintesi di una distribuzione
Up: Variabili casuali e distribuzioni
Previous: Combinazione di molti processi
  Indice
Giulio D'Agostini
2001-04-02