Next: Distribuzione binomiale - da
Up: Distribuzioni di probabilità di
Previous: Distribuzioni di probabilità di
  Indice
Consideriamo ora la seconda schematizzazione di eventi legati
al processo di Bernoulli, descritta nel paragrafo 6.6.4.
Ovvero, interessandoci al numero di successi che possono
verificarsi in un certo numero di tentativi effettuati nelle
stesse condizioni.
Se analizziamo
prove indipendenti, per ciascuna
delle quali la probabilità
di successo è
,
la variabile casuale
= ``numero totale di successi''
può andare da 0 a
(da nessuno a tutti).
Ricaviamoci la funzione di probabilità, a partire dai
valori ``più facili''.

-

- Per
si deve verificare un solo successo
e
insuccessi. Quindi sembrerebbe, ad esempio, che
 |
(7.1) |
Ma in realtà questa espressione dà la probabilità che
il successo si verifichi ad un certo tentativo (ad esempio al primo)
e gli insuccessi nei rimanenti
tentativi. Poiché abbiamo
possibili tentativi
fra loro incompatibili
nei quali si può verificare il successo,
dobbiamo moltiplicare
l'espressione precedente per
. Per
otteniamo un analogo risultato. Quindi:

- Ne segue che l'espressione generale della funzione di probabilità
è data dalla probabilità che si verifichino
successi
e
insuccessi, pari a
 |
(7.2) |
moltiplicata per il numero di volte che, indipendentemente dall'ordine,
si possono ottenere gli
successi in
prove.
Questo numero è pari a quello delle
combinazioni semplici di
elementi presi
a
,
che - ricordiamo - sono
date dai coefficienti binomiali,
indicati con
(vedi paragrafo 3.2.5).
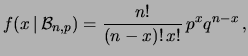
La formula generale
della funzione di probabilità è quindi
 |
(7.3) |
Esplicitando l'espressione dei coefficienti binomiali,
la (7.3) può essere riscritta in modo
più pratico come
 |
(7.4) |
ovvero
avendo indicato con
la probabilità di insuccesso
.
Per quanto riguarda la funzione di ripartizione
, in questo caso
essa non ha una espressione matematica semplice e va calcolata
dalla definizione stessa, sommando tutti i valori di
fino
al numero intero positivo immediatamente precedente ad
(ricordiamo
ancora una volta
che
è convenzionalmente definita su tutto l'asse reale).
Next: Distribuzione binomiale - da
Up: Distribuzioni di probabilità di
Previous: Distribuzioni di probabilità di
  Indice
Giulio D'Agostini
2001-04-02