Next: Introduzione al concetto di
Up: Distribuzioni di probabilità di
Previous: Previsione di frequenza relativa
  Indice
Previsione di una distribuzione
statistica
Prendiamo ancora una volta in considerazione
un numero aleatorio ai cui
valori
assegniamo una probabilità secondo la distribuzione
binomiale, ad esempio il numero di teste
ottenibili dal lancio di
monete
regolari7.4. Supponiamo ora di
voler ripetere l'esperimento
volte. Il nostro interesse
si rivolge ora al numero di volte che
osserveremo 0 teste, quello di 1 testa, e così
via, fino al numero di 5 teste. Indichiamo
ora con
il numero aleatorio ``numero di occorrenze
di
teste in
esperimenti''. In ciascun
esperimento la probabilità di
teste è data dalla
binomiale
ovvero
Ne segue che
Quindi, per ciascun numero di teste, abbiamo una previsione di
occorrenze |
(7.35) |
Analogalmente, per ciascuna delle frequenze relative
abbiamo una previsione di
 |
(7.36) |
Poiché le variabili
, ciascuna associata al numero
di occorrenze (o alla frequenza relativa),
riferite ad eventi osservati costituiscono una distribuzione
statistica,
le (7.37) e (7.38)
possono essere interpretate
come previsione della distribuzione statistica
che potrà essere osservata ripetendo
volte un certo
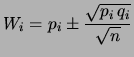
esperimento sotto le stesse ipotesi. La figura
7.6 mostra la previsione della distribuzione
statistica appena discussa.
Figura:
Previsione della distribuzione statistica del
``numero di teste'' nel lancio di 5 monete ottenibile
ripetendo tale esperimento 1000 volte. Le barre rappresentano
le incertezze di previsione, quantificate in
1
intorno alla previsione stessa.
 |
Con queste considerazioni comincia l'interessante discorso sulla
relazione fra distribuzione statistiche e distribuzioni di probabilità
che si presenta sotto due aspetti
- previsione di distribuzione statistiche a partire da distribuzioni
di probabilità (il caso appena visto);
- inferenza di una distribuzione di probabilità a partire da una
distribuzione statistica (un primo esempio sarà mostrato
nel prossimo paragrafo, mentre il discorso sarà
affrontato in modo più organico a partire dal capitolo
11).
Subsections
Next: Introduzione al concetto di
Up: Distribuzioni di probabilità di
Previous: Previsione di frequenza relativa
  Indice
Giulio D'Agostini
2001-04-02