next up previous contents
Next: pzd100Simulazione al computer di Up: Distribuzioni di probabilità di Previous: Valori attesi   Indice

Distribuzione uniforme continua

La più semplice delle funzioni di distribuzione di probabilità di variabile continua è quella in cui si assegna lo stesso grado di fiducia a tutti i possibili valori di una variabile definita in un certo intervallo. Essa è detta distribuzione uniforme. Nell'esempio precedente della pallina puntiforme si può ottenere una distribuzione uniforme se si considerano i punti un piccolo intervallo finito (ad esempio da $ a=-1\,\mu$m a $ b=+1\,\mu$m), subordinatamente alla condizione che la pallina cada in quell'intervallo. Avendo tutti i punti lo stesso grado di fiducia, segue che

$\displaystyle f(x) = k \ \ \ \ \ \ \ a\leq x\leq b$

Il valore della costante $ k$ viene ricavato dalla condizione di normalizzazione:

$\displaystyle \int_{-\infty}^{+\infty}\!f(x)\,$d$\displaystyle x =
\int_{a}^{b}\!f(x)\,$d$\displaystyle x = k\, (b-a) = 1. $

Quindi:
$\displaystyle f(x\,\vert\,{\cal K}(a,b))$ $\displaystyle =$ $\displaystyle \frac{1}{b-a}
\hspace{0.7cm}\left\{\! \begin{array}{l} a\le x \le b \\ a < b
\end{array}\right.$ (8.4)

Si noti come i parametri di $ {\cal K}$ siano, diversamente da quanto avveniva nel caso di variabile discreta, fra parentesi invece che a pedice. Questo è semplicemente un modo convenzionale per indicare che la distribuzione è a variabili continue.

Essendo la funzione densità di probabilità costante, la funzione di ripartizione è lineare nell'intervallo $ [a,b]$, come si verifica facilmente:

$\displaystyle F(x\,\vert\,{\cal K}(a,b))$ $\displaystyle =$ $\displaystyle \int_{-\infty}^{x}\!f(z)\,$   d$\displaystyle z =
\frac{1}{b-a}\, \int_{a}^{x}$d$\displaystyle z = \frac{x-a}{b-a}\, .$  

La figura 8.2 mostra la funzione di densità di probabilità e la funzione di ripartizione della distribuzione uniforme.

Figura: Distribuzione uniforme
\begin{figure}\centering\epsfig{file=fig/dago2.eps,width=8.0cm,clip=}\end{figure}

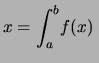
Calcoliamo il valore valore atteso e la varianza di $ X$ (previo il calcolo di E$ (X^2)$):

$\displaystyle \mu=$E$\displaystyle (X)$ $\displaystyle =$ $\displaystyle \int_{a}^{b}\!\frac{x}{b-a}\,$d$\displaystyle x = \frac{a+b}{2}$  
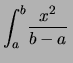
E$\displaystyle (X^2)$ $\displaystyle =$ $\displaystyle \int_{a}^{b}\!\frac{x^2}{b-a}\,$d$\displaystyle x =
\frac{1}{3}\, \frac{b^3-a^3}{b-a} =
\frac{1}{3}\, (b^2+a\, b+a^2)\, .$  

Quindi:

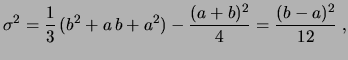
$\displaystyle \sigma^2= \frac{1}{3}\, (b^2+a\, b+a^2)-\frac{(a+b)^2}{4}
=\frac{(b-a)^2}{12}\ ,
$

da cui:

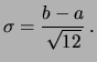
$\displaystyle \sigma =\frac{b-a}{\sqrt{12}}\, .$ (8.5)

Come ci si poteva attendere, la previsione della variabile casuale coincide con il centro dell'intervallo. La deviazione standard è pari a circa il 30% dell'intervallo.

La distribuzione uniforme continua può essere pensata come il limite della distribuzione discreta (vedi paragrafo 6.6.2) quando il numero di punti tende a infinito e la spaziatura a zero. Si riottengono infatti gli stessi valori di media e deviazione standard.

La distribuzione uniforme viene impiegata nella trattazione degli errori di misura ogni qual volta si sa con sicurezza che una certa variabile è contenuta in un certo intervallo, ma non si ha alcun motivo per ritenere alcuni valori più plausibili di altri. Per queste applicazioni è conveniente chiamare la larghezza dell'intervallo $ b-a = 2\,\Delta$, in quanto spesso si usa dire che la variabile può verificarsi uniformemente nell'intervallo $ x_c\pm\Delta$, dove $ x_c$ sta per il centro dell'intervallo. Ne segue che

$\displaystyle \sigma = \frac{\Delta}{\sqrt{3}} = 0.58\,\Delta \approx 0.6\, \Delta\,.$ (8.6)

Un altro uso della uniforme continua è nelle simulazioni al calcolatore. Infatti, mediante opportune tecniche è possibile, a partire da una variabile distribuita uniformemente, costruire altre variabili distribuite a piacere. Il prossimo paragrafo è da considerare come una breve e interessante parentesi su tale argomento.


next up previous contents
Next: pzd100Simulazione al computer di Up: Distribuzioni di probabilità di Previous: Valori attesi   Indice
Giulio D'Agostini 2001-04-02