Next: Distribuzione uniforme in un
Up: Esempi di distribuzione bidimensionale
Previous: Esempi di distribuzione bidimensionale
  Indice
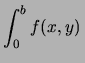
Come primo e semplice esempio di distribuzione multipla
di variabili continue consideriamo due variabili
e
negli intervalli
e
e tali
che la loro densità di probabilità congiunta
sia
costante nella porzione di piano definita da tali limiti.
Per semplificare i conti, ma senza perdere in generalità,
facciamo coincidere gli estremi inferiori
e
con
l'origine degli assi, e chiamiamo
e
le lunghezze
dei due segmenti (vedi figura 9.3).
Figura:
Distribuzione bidimensionale uniforme
 |
La condizione di normalizzazione permette di ricavare il
valore della costante:
da cui segue
 |
(9.40) |
Possiamo quindi calcolare le distribuzioni marginali delle due
variabili:
Come ovvio, la densità è uniforme in ciascuna delle due
distribuzioni. Le medie e le varianze valgono quindi:
E
;
E
;
;
.
Per il calcolo della covarianza serve il valore atteso del prodotto:
da cui
e quindi
. In effetti, anche se si venisse a
sapere che
vale
,
o
, questa informazione non cambia
le nostre aspettative sui possibili valori di
.
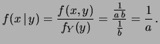
Il calcolo della densità di probabilità di
,
condizionata dall'occorrenza di un valore di
,
è altresì semplice:
 |
(9.45) |
Essa è identica alla densità marginale e quindi
e
sono indipendenti.
Next: Distribuzione uniforme in un
Up: Esempi di distribuzione bidimensionale
Previous: Esempi di distribuzione bidimensionale
  Indice
Giulio D'Agostini
2001-04-02