next up previous contents
Next: Esempio di applicazione alle Up: Funzioni di variabili casuali Previous: pzd100 Simulazione di numeri   Indice

$ {\bf\circlearrowright\,}$ Linearizzazione

Una conseguenza importante delle proprietà della combinazione lineare e del teorema del limite centrale è la seguente: se si hanno delle variabili $ X_1$, $ X_2$,...$ X_n$ e una variabile $ Y$ funzione arbitraria di esse, ovvero

$\displaystyle Y=Y(X_1, X_2,\ldots,X_n)\,$

che sia abbastanza lineare nell'intorno del valore atteso di ciascuna delle $ X_i$ (ovvero $ \mu_i$) ove si addensa il grosso della probabilità (ovvero entro qualche $ \sigma_i$ da $ \mu_i$) allora, espandendo $ Y$ in serie di Taylor otteniamo
$\displaystyle Y$ $\displaystyle \approx$ $\displaystyle Y(\mu_1, \mu_2, \ldots, \mu_n) +
\sum_i\frac{\partial Y}{\partial X_i}(X_i-\mu_i)$ (10.61)
  $\displaystyle \approx$ $\displaystyle k + \sum_i\frac{\partial Y}
{\partial X_i}X_i\,,$ (10.62)

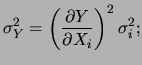
ove le derivate si intendono calcolate per $ X_i=\mu_i$. Il secondo modo di scrivere l'espansione, in cui sono stati inglobati in $ k$ tutti i termini non dipendenti da $ X_i$, mostra chiaramente che la $ Y$ è una combinazione lineare delle $ X_i$ con coefficienti pari alle derivate calcolate nella previsione del vettore aleatorio $ \{X_1, X_2,\ldots X_n\}$. Si possono applicare quindi a questa combinazione lineare ed ad altre combinazioni lineari costruite sulle $ X_i$ tutti i teoremi incontrati in questo capitolo. In particolare, abbiamo:
next up previous contents
Next: Esempio di applicazione alle Up: Funzioni di variabili casuali Previous: pzd100 Simulazione di numeri   Indice
Giulio D'Agostini 2001-04-02