Next: Combinazione scettica
Up: Impostazione del problema. Caso
Previous: Conclusioni e raccomandazioni
  Indice
Nei paragrafi precedenti abbiamo visto la funzione
,
interpretata come funzione di verosimiglianza di ottenere
un certo valore osservato data l'ipotesi
. Interessiamoci
ora al problema di determinare veramente la probabilità
di un valore ignoto. Ci rendiamo conto che
non è
sufficente. Infatti non siamo interessati alla probabilità
di
per ogni ipotesi
, bensì alla probabilità
che tenga conto di tutti i valori possibili di
, pesati con la
loro plausibilità.
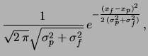
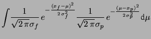
d |
(11.102) |
Nel caso in cui la conoscenza di
ci deriva dall'aver osservato
il singolo (o valore equivalente) valore (passato)
con
un esperimento avente deviazione standard
, e
il valore (futuro)
che andremo ad osservare deriverà
da un esperimento con
, abbiamo:
con
Si noti come la distribuzione predittiva (11.104)
descrive l'incertezza su un valore ignoto condizionata
da una precedente osservazione, essendo sparito il
``metafisico'' valore vero
(nel senso di non accessibile ai nostri sensi)
.
Figura:
Schema di inferenza predittiva attraverso
lo stadio intermedio ``metafisico''
.
 |
La figura 11.10 mostra lo schema di inferenza
dall'osservazione certa
all'osservazione (futura) incerta
attraverso lo stadio intermedio non osservabile
.
Si noti in particolare il caso di
,
ovvero di osservazioni equilavalenti ottenute nelle stesse condizioni
sperimentali e con la stessa quantità di osservazioni individuali.
Abbiamo
. In altri termini,
riteniamo probabile al 52% che la nuova media cada entro
da quella precedente.11.8
Next: Combinazione scettica
Up: Impostazione del problema. Caso
Previous: Conclusioni e raccomandazioni
  Indice
Giulio D'Agostini
2001-04-02