Next: Metodo B
Up: Premessa
Previous: Premessa
  Indice
L'equivalente in acqua del calorimetro può essere
ottenuto dalla (
), se al posto
dell'oggetto in alluminio si utilizza una seconda
quantità di acqua di massa
alla temperatura iniziale
. Sostituendo nella (
)
con
e
con
si ottiene:
 |
(15) |
nella quale è stato semplificato il calore specifico dell'acqua,
supposto non dipendere dalla temperatura.
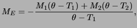
Successivamente, per la misura del calore specifico del
corpo va utilizzata la formula
(
), ottenendo
 |
(16) |
Per capire l'ordine di grandezza dell'effetto introdotto dal
valore non nullo di
è preferibile calcolarsi
il rapporto fra il valore del calore specifico ottenuto
dalla (
) con quello ottenuto applicando la
(
):
 |
(17) |
Giulio D'Agostini
2001-04-02