Next: Trasformazione lineare di una
Up: Cambiamento di variabile
Previous: Trasformazioni di una distribuzione
  Indice
È interessante il caso in cui la funzione di trasformazione
abbia la stessa espressione della funzione di distribuzione
, ovvero:
(Si noti l'uso di maiuscole e minuscole per distinguere due funzioni
matematematicamente uguali in questo caso, ma concettualmente diverse.)
Facendo uso della
10.12, in quanto
è crescente, otteniamo:
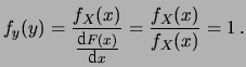
 |
(10.14) |
Quindi la trasformazione di variabile data da una funzione uguale alla funzione
di ripartizione produce una variabile uniforme fra 0 e 1, per qualunque
di partenza. Questa osservazione può essere utilizzata come
un modo alternativo per giustificare il metodo di simulazione
di variabili casuali qualsiasi discusso nel paragrafo
8.3
Giulio D'Agostini
2001-04-02