next up previous contents
Next: Caso di funzioni non Up: Cambiamento di variabile Previous: Applicazioni alle simulazioni di   Indice

Trasformazione lineare di una variabile distribuita normalmente

Consideriamo il caso

$\displaystyle \left\{\begin{array}{l} X\sim {\cal N}(\mu_X,\sigma_X) \\
Y = a\, X +b \end{array}\right.\,.$

Facendo uso della 10.13 si ha:
$\displaystyle f_Y(y)$ $\displaystyle =$ $\displaystyle \frac{f_X\left(\frac{y-b}{a}\right)^2}{\vert a\vert}$  
  $\displaystyle =$ $\displaystyle \frac{1}{\sqrt{2\,\pi}\vert a\vert\sigma}
\exp\left[-\frac{y-(a\mu_X+b))^2}{2\,a^2\,\sigma_X^2}\right]\,,$ (10.15)

ovvero

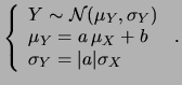
$\displaystyle \left\{\begin{array}{l} Y \sim {\cal N}(\mu_Y,\sigma_Y) \\
\mu_Y = a\,\mu_X+b \\
\sigma_Y = \vert a\vert\sigma_X
\end{array}\right.\,.$

Una trasformazione lineare di una normale dà ancora luogo ad una normale. Per quanto riguarda la trasformazione di valore atteso e deviazione standard, la legge di trasformazione segue una regola generale che non dipende dal tipo di distribuzione.

Giulio D'Agostini 2001-04-02