Next: Trasformazioni di una distribuzione
Up: pzd100Soluzione generale per variabili
Previous: pzd100Soluzione generale per variabili
  Indice
Prendiamo la variabile
, con funzione densità di probabilità
, e consideriamo una funzione
crescente
. Applicando quanto appena
espresso a parole per il caso generale,
abbiamo che

con
ovvero
in cui è stato esplicitato il fatto (generalmente sottinteso in questo
testo) che
è una funzione di
mentre
è funzione di
.
Ne segue che
 |
(10.11) |
dove con
è stata indicata la derivata di
calcolata in corrispondenza di
tale che
,
ovvero di
, ove - chiariamo -
(
sta per la funzione inversa di
.
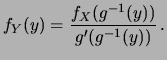
Quindi il modo più corretto per esprimere la (10.11),
funzione solo di
, è
 |
(10.12) |
Nel caso che
sia decrescente si segue un ragionamento analogo,
ma nel risultato finale cambia il segno al secondo membro. Quindi
la formula generale, per funzioni sempre crescenti o sempre decrescenti
è:
 |
(10.13) |
Ad esempio, se la trasformazione è del tipo
, si ottiene
Vediamo in dettaglio cosa succede quando si applica una
trasformazione ad una variabile distribuita uniformemente.
Subsections
Next: Trasformazioni di una distribuzione
Up: pzd100Soluzione generale per variabili
Previous: pzd100Soluzione generale per variabili
  Indice
Giulio D'Agostini
2001-04-02